Class 12 Economics Chapter 1 अर्थशास्त्र में आलेख्न

Class 12 Economics अर्थशास्त्र में आलेख Textbook Solutions
स्वाध्याय
प्रश्न 1.
निम्नलिखित प्रश्नों के उत्तर सही विकल्प चुनकर लिखिए :
1. आकृति किस प्रकार के वितरण के लिए खींची जाती है ?
(A) सतत
(B) असतत
(C) विस्तार
(D) आदर्श
उत्तर :
(B) असतत
2. आलेख किस प्रकार के वितरण के लिए बनाया जाता है ?
(A) सतत
(B) असतत
(C) विस्तार
(D) आदर्श
उत्तर :
(A) सतत
3. निम्नलिखित में से कौन-सी आकृति समान जानकारी के लिए बनाई जाती है ?
(A) सरल स्तंभाकृति और वृत्तांश आकृति
(B) विभाजित स्तंभाकृति और वृत्तांश आकृति
(C) पास-पास की स्तंभाकृति और सामायिक श्रेणी का आलेख
(D) वृत्तांश आकृति और सामयिक श्रेणी का आलेख
उत्तर :
(A) सरल स्तंभाकृति और वृत्तांश आकृति
4. वर्तमान के समय में इन्टरनेट के लिए कौन-सा विधान सही है ?
(A) अध्ययन हेतु एक साधन है ।
(B) अध्ययन हेतु शिक्षक का कार्य करता है ।
(C) स्कूल की संपूर्ण स्थापन्न में आनेवाली संस्था है ।
(D) युवानों के लिए मनोरंजन का साधन है ।
उत्तर :
(A) अध्ययन हेतु एक साधन है ।
5. आर्थिक जानकारी से संबंधित डेटा C.D. कौन तैयार करता है ?
(A) निजी प्रकाशक
(B) विद्यालय
(C) प्रयोगशालाएँ, संशोधन केन्द्र, सरकार
(D) सामान्य व्यक्ति
उत्तर :
(C) प्रयोगशालाएँ, संशोधन केन्द्र, सरकार
6. स्वयं स्पष्ट जानकारी के लिए उपयोगी है ……………………..
(A) आकृति
(B) आलेख
(C) चित्र
(D) सांख्यकीय
उत्तर :
(A) आकृति
7. आलेख में दर्शायी गयी जानकारी ………………………..
(A) स्पष्ट नहीं होती है ।
(B) स्वयं स्पष्ट होती है ।
(C) असतत माहिती होती है ।
(D) दुविधा होती है ।
उत्तर :
(A) स्पष्ट नहीं होती है ।
ज़्यादा जानें
Book
पुस्तक
शिक्षण
किताब
शिक्षा
Text Book
सांख्यिकी
सांख्यिकीय
पुस्तकें
पुस्तकों
8. आलेख बनाने और समझने के लिए किसका ज्ञान जरूरी है ?
(A) भौतिकशास्त्र
(B) रसायनशास्त्र
(C) सांख्यिकी
(D) समाजशास्त्र
उत्तर :
(C) सांख्यिकी
9. समग्रलक्षी परिबलों में होनेवाले परिवर्तन के लिए कौन-सा आलेख उपयोगी है ?
(A) पास-पास की स्तंभाकृति
(B) वृत्तांश आकृति
(C) सादा स्तंभाकृति
(D) सामयिक श्रेणी
उत्तर :
(D) सामयिक श्रेणी
10. चित्र का उचित कद निश्चित करने के लिए …………………………………
(A) स्केलमाप लेना चाहिए ।
(B) कद निश्चित करना चाहिए ।
(C) समझना चाहिए ।
(D) ज्ञान प्राप्त करना चाहिए ।
उत्तर :
(A) स्केलमाप लेना चाहिए ।
11. X-अक्ष पर दर्शाया जाता है …………………………
(A) परतंत्र चल
(B) जन्मदर
(C) मृत्युदर
(D) स्वतंत्र चल
उत्तर :
(D) स्वतंत्र चल
12. y-अक्ष पर दर्शाया जाता है ।
(A) समय
(B) स्थान
(C) स्वतंत्र चल
(D) परतंत्र चल
उत्तर :
(D) परतंत्र चल
13. स्तंभ आकृति के प्रकार कितने हैं ?
(A) एक
(B) दो
(C) तीन
(D) चार
उत्तर :
(C) तीन
14. एक ही प्रकार की जानकारी के लिए कौन-सी आकृति अधिक उपयोगी है ?
(A) सादा स्तंभाकृति
(B) पास-पास की स्तंभाकृति
(C) विभाजित स्तंभाकृति
(D) वृत्तांश आकृति
उत्तर :
(A) सादा स्तंभाकृति
15. जिस जानकारी के लिए विभाजित स्तंभाकृति बनायी हो उसके लिए कौन-सी आकृति बना सकते है ? ।
(A) वृत्तांश आकृति
(B) पास-पास की स्तंभाकृति
(C) सादा स्तंभाकृति
(D) सामयिक श्रेणी
उत्तर :
(A) वृत्तांश आकृति
16. वृत्त का क्षेत्रफल कितना होता है ?
(A) 80°
(B) 90°
(C) 180°
(D) 360°
उत्तर :
(D) 360°
17. आधुनिक युग किस युग के नाम से जाना जाता है ? .
(A) आध्यात्मक युग
(B) सामाजिक युग
(C) टेक्नोलोजी का युग
(D) शक्ति का युग
उत्तर :
(C) टेक्नोलोजी का युग
18. अर्थशास्त्र जीवन जीने की कला और ……………… का शास्त्र है ।
(A) सामाजिक
(B) विज्ञान
(C) भूगोल
(D) रसायन
उत्तर :
(B) विज्ञान
फ़ाइनेंशियल सॉफ़्टवेयर
19. अर्थशास्त्र के सिद्धांतों को किससे सरलता से समझा सकते हैं ?
(A) पावर पोईन्ट से
(B) स्लाईड से
(C) आलेख से
(D) फिल्म से
उत्तर :
(A) पावर पोईन्ट से
20. अंदाजपत्र को समझाने के लिए कितनी स्लाइडों का उपयोग होता है ?
(A) चार
(B) तीन
(C) दो
(D) पाँच
उत्तर :
(B) तीन
21. असंख्य पुस्तकों को कहाँ पर मुफ्त में पढ़ सकते हैं ?
(A) वांचनालय में
(B) स्कूल में
(C) घर में
(D) इन्टरनेट पर
उत्तर :
(D) इन्टरनेट पर
किताबों की अलमारी
22. इन्टरनेट पर कोई भी जानकारी किस प्रकार प्राप्त कर सकते हैं ?
(A) कम्प्यूटर खोलकर
(B) बैंडविडिथ द्वारा
(C) सर्च करके
(D) वेबसाईट द्वारा
उत्तर :
(C) सर्च करके
23. आर्थिक समस्या के अध्ययन में संख्या का कौन-सा स्वरूप उपयोगी है ?
(A) सांख्यिकीय
(B) प्रतिशत
(C) अनुपात
(D) प्रतिशत बिंदु
उत्तर :
(B) प्रतिशत
24. वृत्तांश के उपखंडों के क्षेत्रफल का कुल मूल्य कितना होना चाहिए ?
(A) 180°
(B) 90°
(C) 45°
(D) 360°
उत्तर :
(D) 360°
25. वृत्तांश में सांख्यकीय जानकारी को दर्शाने के लिए संख्या का कौन-सा स्वरूप होना चाहिए ?
(A) प्रतिशत स्वरूप
(B) सांख्यकीय स्वरूप
(C) अनुपात स्वरूप
(D) प्रतिशत बिंदु
उत्तर :
(A) प्रतिशत स्वरूप
प्रश्न 2.
निम्नलिखित प्रश्नों के उत्तर एक वाक्य में दीजिए ।
1. आकृति अर्थात् क्या ?
उत्तर :
अवलोकित जानकारी का चित्र द्वारा प्रतिनिधित्व किया जाय तो उसे आकृति कहते हैं ।
2. आलेख अर्थात् क्या ?
उत्तर :
स्वयं स्पष्ट जानकारी न हो ऐसी अवलोकित जानकारी का चित्र द्वारा प्रतिनिधित्व अर्थात् आलेख्न ।
3. स्तंभ अर्थात् क्या ?
उत्तर : जब किसी जानकारी को स्तंभ स्वरूप में आलेख में दर्शाया जाये तो उसे स्तंभ कहते हैं ।
4. वृत्तांश आकृति अर्थात् क्या ?
उत्तर :
वृत्तांश अर्थात् वृत्त का अंश । एक वृत्त को एक समष्टि मान लिया जाये और जानकारी को वृत्त के अलग-अलग भागों में दर्शाया जाये तब उसे वृत्तांश आकृति कहते हैं ।
5. डेटा C.D. अर्थात् क्या ?
उत्तर :
विभिन्न प्रकार की संस्थाएँ समग्र अर्थशास्त्र की जानकारी प्राप्त करके सांख्यकीय अहवाल तैयार करके C.D. (कोम्पेक्ट डिस्क) में संग्रहित करती हैं । इसे डेटा C.D. के नाम से जानते हैं ।
फ़ाइनेंशियल सॉफ़्टवेयर
6. किसके लिए सांख्यिकी ज्ञान की आवश्यकता नहीं है ?
उत्तर :
आकृति बनाने के लिए सांख्यिकी ज्ञान की आवश्यकता नहीं है ।
7. असतत जानकारी दर्शाने के लिए किसका उपयोग किया जाता है ?
उत्तर :
असतत जानकारी दर्शाने के लिए आकृति का उपयोग किया जाता है ।
8. जब जानकारी स्वयं स्पष्ट न हो तो उसे किस चित्र में दर्शा सकते है ?
उत्तर :
जब जानकारी स्वयं स्पष्ट न हो तो उसे आलेख द्वारा चित्र स्वरूप में दर्शा सकते हैं ।
9. आकृति स्वरूप जानकारी से क्या लाभ होता है ?
उत्तर :
आकृति स्वरूप जानकारी से सामान्य प्रजा में सरलता से समझ खड़ी करके अपने अध्ययन को रुचिपूर्वक समझा सकते हैं ।
10. आलेख के लिए उपयोगी जानकारी कैसी नहीं होती है ?
उत्तर :
आलेख के लिए उपयोगी जानकारी स्वयं स्पष्ट नहीं होती है ।
11. जानकारी को सतत आवृत्ति में दर्शाने के लिए किसका उपयोग करते हैं ?
उत्तर :
जानकारी को सतत आवृत्ति में दर्शाने के लिए आलेख का उपयोग किया जाता है ।
12. किसके बिना आलेख बनाना असंभव है ?
उत्तर :
निश्चित स्केलमाप के बिना आलेख बनाना असंभव है ।
13. सामान्य रूप से आलेख कहाँ बनाया जाता है ?
उत्तर :
सामान्य रूप से आलेख ‘ग्राफ पेपर’ पर बनाया जाता है ।
4. किसके लिए आलेख का उपयोग नहीं किया जाता है ?
उत्तर :
सामान्य प्रजा को जानकारी देने के लिए आलेख्न का उपयोग नहीं किया जाता है ।
15. आकृति तथा आलेख किसे सरल बना देते हैं ?
उत्तर :
आकृति तथा आलेख अर्थशास्त्र के कठिन सिद्धांतों को भी समझने में सरल बना देते हैं ।
16. माँग और पूर्ति का विस्तरण – संकुचन और उसकी मूल्यसापेक्षता किसके द्वारा सरल बना देते हैं ?
उत्तर :
माँग और पूर्ति का विस्तरण – संकुचन और उसकी मूल्यसापेक्षता आकृति द्वारा सरल बनती है ।
17. चित्र की प्रस्तुति कैसी होनी चाहिए ?
उत्तर :
चित्र की प्रस्तुति स्पष्ट और स्वच्छ होनी चाहिए ।
18. आलेख या आकृति का कद उचित हो इसके लिए क्या करना चाहिए ?
उत्तर :
आलेख या आकृति का कद उचित हो इसके लिए स्केलमाप होना चाहिए ।
19. आलेख की विश्वसनीयता बढ़ाने के लिए क्या करना चाहिए ?
उत्तर :
आलेख की विश्वसनीयता बढ़ाने के लिए जानकारी तथा उसके स्त्रोत को दर्शाना चाहिए ।
20. रेखा आकृति किसे कहते हैं ?
उत्तर :
दो चलों के बीच के सम्बन्ध को दर्शानवाली रेखा को रेखा आकृति कहते हैं ।
21. रेखा आकृति द्वारा किस-किस जानकारी को दर्शा सकते हैं ?
उत्तर :
रेखा आकृति द्वारा माँग रेखा, पूर्ति रेखा आदि को दर्शा सकते हैं ।
22. x-अक्ष पर क्या दर्शाया जाता है ?
उत्तर :
x-अक्ष पर समय, स्थान, क्षेत्र, वर्ष अर्थात् स्वतंत्र चल दर्शाये जाते हैं ।
23. y-अक्ष पर क्या दर्शाया जाता है ?
उत्तर :
y-पर जन्मदर, मृत्युदर, जनसंख्या, मुद्रास्फीति की दर, अर्थात् परतंत्र चल दर्शाये जाते हैं ।
24. स्तंभ आकृति किस प्रकार दर्शाते हैं ?
उत्तर :
स्तंभ आकृति ऊर्ध्व या क्षैतिज स्तंभों द्वारा दर्शायी जाती है ।
25. स्तंभों की ऊँचाई (लंबाई) क्या दर्शाती है ? ।
उत्तर :
स्तंभों की ऊँचाई (लंबाई) उस विभाग या समय के मूल्य को दर्शाती है ।
26. एक ही प्रकार की जानकारी के लिए कौन-सी आकृति का उपयोग किया जाता है ?
उत्तर :
एक ही प्रकार की जानकारी के लिए सादी सरल स्तंभाकृति का उपयोग करते हैं ।
27. पास-पास की स्तंभाकृति किसे कहते हैं ?
उत्तर :
जब किसी एक आधार पर किसी एक चल के एक की अपेक्षा अधिक वर्गों के मूल्य को दर्शाया जाये तो उसे पास-पास की . स्तंभाकृति कहते हैं ।
28. अलग-अलग वर्गों के स्पष्टीकरण करने के लिए क्या करना चाहिए ?
उत्तर :
अलग-अलग वर्गों के स्पष्टीकरण करने के लिए अलग-अलग रंग या शेड का उपयोग करना चाहिए ।
29. स्तंभों की चौड़ाई समान क्यों होती है ?
उत्तर :
स्तंभों की चौड़ाई समान इसलिए होती है क्योंकि वह किसी का भी मूल्य नहीं दर्शाती है ।
30. वृत्तांश अर्थात् क्या ?
उत्तर :
वृत्तांश अर्थात् वृत्त का अंश ।
31. वृत्त का कुल क्षेत्रफल कितना होता है ?
उत्तर :
वृत्त का कुल क्षेत्रफल 360° होता है ।
32. वृत्तांश ज्ञात करने का सूत्र लिखो ।
उत्तर :

33. तुलनात्मक अध्ययन के लिए कौन-सी आकृति उपयोगी है ?
उत्तर :
तुलनात्मक अध्ययन के लिए पास-पास की स्तंभाकृति, विभाजित स्तंभाकृति या वृत्तांश आकृति का उपयोग किया जाता है ।
34. 20% को वृत्त में दर्शाने के लिए कितने अंश का कोण बनेगा ?
उत्तर :
20% को वृत्त में दर्शाने के लिए (20 × 360): 100 = 72°) 72° का कोण बनेगा ।
35. सामायिक श्रेणी का आलेख किसे कहते हैं ?
उत्तर :
समय के आधार पर जब विभिन्न व्यवहारों (जानकारियों) को आलेख में दर्शाया जाये तो उसे सामायिक श्रेणी के आलेख्न के नाम से जानते हैं ।
36. दैनिक जीवन में टेक्नोलोजी का उपयोग बताइए ।
उत्तर :
एक-दूसरे के संपर्क में रहने के लिए फिल्म की टिकट बुक कराने के लिए, गीत सुनने के लिए, ड्राइविंग करते समय रास्ता ढूँढ़ने के लिए, वस्तु के क्रय-विक्रय, बिल भरने आदि के लिए टेक्नोलोजी का उपयोग किया जाता है ।
किताबों की अलमारी
37. अब तो कम्प्यूटर का उपयोग कहाँ कर सकते हैं ?
उत्तर :
अब तो कम्युटर का उपयोग मोबाईल में भी कर गान है ।
38. प्रेजेन्टेशन दर्शाने के लिए किसका उपयोग किया जाता है ?
उत्तर :
प्रेजेन्टेशन के लिए पावर-पोइन्ट का उपयोग किया जाता है ।
39. एक्सलशीट क्या है ?
उत्तर :
एक्सलशीट यह सांख्यकीय जानकारी को प्रोसेस करनेवाला प्रोग्राम है ।
40. जानकारी को संभालकर रखने के लिए किन साधनों का उपयोग किया जाता है ?
उत्तर :
जानकारी को संभालकर रखने के लिए कम्प्यूटर, हार्डडिस्क, पेनड्राईव, e-mail, इनके उपरांत Drop-Box, Google Drive, Digi Locker आदि साधनों का उपयोग किया जाता है ।
41. कोई भी जानकारी इन्टरनेट पर से किस प्रकार प्राप्त कर सकते हैं ?
उत्तर :
कोई भी जानकारी इन्टरनेट पर सर्च करके जानकारी प्राप्त कर सकते हैं ।
42. इन्टरनेट किसका स्थान नहीं ले सकता है ?
उत्तर :
इन्टरनेट शिक्षक या अपनी विचारशक्ति और तर्कशक्ति का स्थान नहीं ले सकता है ।
43. N.S.S.0. का पूरा नाम लिखिए ।
उत्तर :
N.S.S.O. = National Sample Survey Organization
44. CMIE का पूरा नाम लिखिए ।
उत्तर :
CMIE का पूरा नाम Center for Monitoring Indian Economy है ।
45. C.D. का पूरा नाम लिखिए ।
उत्तर :
C.D. का पूरा नाम Compact Disk है ।
प्रश्न 3.
निम्नलिखित प्रश्नों के उत्तर संक्षिप्त में लिखिए :
1. आकृति अर्थात् क्या और उसे किस लिए बनाया जाता है ?
उत्तर :
सामान्य रूप से अवलोकित जानकारी का चित्र द्वारा प्रतिनिधित्व अर्थात् आकृति ।
आकृति का उपयोग या महत्त्व निम्नानुसार है :
- असतत जानकारी को आकृति से समझा सकते हैं ।
- सामान्य जनता को सांख्यकीय जानकारी को सरलता से समझा सकते हैं ।
- आकृति द्वारा जानकारी को आकर्षकरूप से प्रस्तुत कर सकते हैं ।
- आकृति से सामान्य जन में जागृति आती है ।
- आकृति से हमारा अध्ययन रुचिपूर्वक बनता है ।
2. आलेख अर्थात् क्या और उसे किस लिए बनाया जाता है ?
उत्तर :
‘जो जानकारी स्वयं स्पष्ट न हो ऐसी जानकारी का चित्र द्वारा प्रतिनिधित्व अर्थात् आलेख ।’
आलेख्न का उपयोग या महत्त्व निम्नानुसार है :
- सतत जानकारी को सरलता से दर्शा सकते हैं ।
- स्वयं स्पष्ट जानकारी न हो तो उसे आलेख्न से सरलता से स्पष्ट कर सकते हैं ।
- आलेख के द्वारा तुलनात्मक अध्ययन सरल बनता है ।
- आलेख के द्वारा हमारा अध्ययन अधिक रूचिकर एवं आकर्षक बनता है ।
- आलेख्न का उपयोग संशोधनकारों तथा उच्च शिक्षण में अधिक उपयोग किया जाता है । .
3. अर्थशास्त्र में आकृति एवं आलेख का महत्त्व बताइए ।
उत्तर :
अर्थशास्त्र में दैनिक जीवन में बननेवाली विविध घटनाओं का अध्ययन किया जाता है । यह अध्ययन विश्लेषण विद्वानों द्वारा होता है । जो सामान्य प्रजा की समझ में नहीं आता है । तब इस अध्ययन-विश्लेषण में आलेख और आकृति उपयोगी है ।
फ़ाइनेंशियल सॉफ़्टवेयर
आलेख और आकृति का महत्व निम्नानुसार है :
- अर्थशास्त्र का अध्ययन आकृति द्वारा सरल बनता है ।
- अर्थशास्त्र का अध्ययन आलेख द्वारा अधिक स्पष्ट बनता है ।
- अर्थतंत्र में आनेवाले परिबलों के अलग-अलग वर्षों के प्रवाहों को सरलता से एक ही आकृति या आलेख में देख सकते हैं ।
- अर्थतंत्र के विभिन्न क्षेत्रों में होनेवाले परिवर्तनों को सरलता से समझ सकते हैं ।
- अर्थशास्त्र के अध्ययन में तुलनात्मक अध्ययन सरल बनता है ।
- आलेख्न और आकृति से समय और शक्ति की बचत होती है ।
- आलेख और आकृति द्वारा अध्ययन आकर्षक बनता है ।
- आलेख और आकृति द्वारा सामान्य प्रजा को अर्थशास्त्र के कठिन और अटपटे सिद्धांतों को सरलता से समझा सकते हैं ।
4. अध्ययन करने में कम्प्यूटर किस प्रकार उपयोगी होता है ?
उत्तर :
अध्ययन करने से कम्प्यूटर का उपयोग निम्नानुसार है :
- प्रेजन्टेशन बनाने और तैयार करने के लिए कम्प्यूटर का उपयोग किया जा सकता है ।
- एक्सल वर्कशीट के द्वारा बड़े पैमाने पर सांख्यकीय जानकारी को प्रस्तुत कर सकते हैं ।
- आलेख और आकृति बनाने के लिए कम्प्यूटर अधिक उपयोगी है ।
- जानकारी के संग्रह के लिए कम्प्यूटर उपयोगी है ।
- सांख्यिकी के एडवान्स प्रोग्रामों के लिए गणना करता है ।
5. डेटा C.D. पर संक्षिप्त टिप्पणी लिखिए ।
उत्तर :
C.D. अर्थात् कोम्पेक्ट डिस्क । जो एक इलेक्ट्रोनिक प्रणाली है । यह कम्प्यूटर के प्रोग्रामों को संग्रहित करके दूसरे कम्प्यूटर . में ले जाकर देख सकते हैं । संशोधक, विद्यार्थी इसका उपयोग अपने संशोधन और अध्ययन के लिए करते हैं ।
अनेक संस्थाओं समग्र अर्थतंत्र की जानकारी प्राप्त करके सांख्यकीय जानकारी की रिपोर्ट तैयार करते हैं । ऐसी संस्थाएँ अधिकृत अंको की C.D. बाज़ार में बेचने के लिए रखती हैं । इन C.D. का शैक्षणिक संस्थाएँ, संशोधन संस्थाएँ आदि खरीदकर उपयोग करते हैं । वर्तमान समय में राष्ट्रीय आय की गणना की C.D., जनगणना की C.D. उद्योगों के सर्वे की C.D., N.S.S.O. की C.D. आदि उपलब्ध है ।
6. आकृति के प्रकार बताइए ।
उत्तर : आकृति के प्रकार निम्नानुसार है :
- चित्राकृति (Pictogram)
- फुटकर बिंदुओं को दर्शानेवाले आकृति (Scatter diagram)
- समय आधारित अथवा अन्य परिबल आधारित रेखा आकृति (Line diagram)
- वृत्त आकृति (Circle diagram)
- स्तंभ आकृति (Bar diagram)
- वृत्तांश आकृति (Pie diagram)
7. समय आधारित रेखा आकृति पर टिप्पणी लिखिए ।
उत्तर :
समय के संदर्भ में जब किसी एक चल के स्वयं स्पष्ट प्रवाह दर्शानेवाली आकृति का अर्थशास्त्र में बारबार उपयोग किया जाता है । जैसे – विविध वर्षों की जनसंख्या, विविध वर्षों की मुद्रास्फीति की दर, विविध वर्षों की साक्षरता आदि दर्शायी जाती है। इन सभी जानकारी को दर्शाने के लिए समय आधारित रेखा आकृति का उपयोग किया जाता है । जिससे हमारा अध्ययन सरल और रसपूर्वक बन जाता है ।
8. वृत्तांश आकृति बनाते समय कौन-कौन सी बातें ध्यान में रखनी चाहिए ?
उत्तर :
वृत्त का कुल क्षेत्रफल 360° होता है ।
- जानकारी का प्रतिशत स्वरूप ज्ञात किया जाता है ।
- जानकारी के आधार पर उपविभागों का वृत्तांश ज्ञात किया जाता है ।
- वृत्तांश ज्ञात करने के लिए वृत्तांश =

- का उपयोग करते हैं ।
- इन उप विभागों का कुल योग 360° होता है ।
- अलग-अलग समय या प्रदेश के आधार पर तुलना करने के लिए अलग-अलग वृत्तों का उपयोग किया जाता है ।
- अलग वृत्तांशों के लिए अलग-अलग रंग या शेड का उपयोग करना चाहिए ।
9. आलेख के प्रकार बताइए ।
उत्तर :
आलेख के निम्नलिखित प्रकार है :
- सामायिक श्रेणी के व्यवहार दर्शानेवाले आलेख ।
- सतत आवृत्ति-वितरण रखनेवाले आलेख :
- स्तंभालेख
- आवृत्ति बहुकोण
- आवृत्ति वक्र
- संचयी आवृत्ति बहुकोण
- लघुगुणक (लॉग) आधारित आलेख ।
10. अर्थशास्त्र के अध्ययन में टेक्नोलोजी का उपयोग बताइए ।
उत्तर :
अर्थशास्त्र जीवन जीने के लिए कला और विज्ञान का शास्त्र है । और मानवजीवन प्रत्येक समय परिवर्तित होता रहता है । इसलिए सामान्य प्रजा एवं विशेषज़यों को खुद को नये-नये परिवर्तनों से परिचित रखना पड़ता है । और इसके लिए मनुष्य को टेक्नोलोजी खूब उपयोगी सिद्ध हुयी है ।
फ़ाइनेंशियल सॉफ़्टवेयर
11. कम्प्यूटर टेक्नोलोजी के उपयोग की मर्यादाएँ बताइए । अथवा इन्टरनेट के उपयोग के भयस्थान बताइए ।
उत्तर :
कम्प्यूटर टेक्नोलोजी एक साधन या यंत्र है । यह कोई अध्ययन सामग्री नहीं है । यह अपने अध्ययन को सरल बनाता है । परंतु उसका उपयोग ज्ञान या अध्ययन के स्थान पर नहीं हो सकता है । इसके लिए कम्प्यूटर का ज्ञान होना चाहिए नहीं तो गलत आकृतियाँ आलेख, गलत औसत, गलत निष्कर्ष पर ले जाती है । कम्प्यूटर में संग्रहित जानकारी का डीलित होने का भी भय होता है । इस प्रकार कम्प्यूटर उपयोगी होते हुए भी कुछ मर्यादाएँ है ।
प्रश्न 4.
निम्नलिखित प्रश्नों के उत्तर मुद्देसर लिखिए :
1. आकृति एवं आलेख बनाते समय ध्यान में रखने योग्य बातें समझाइए ।
उत्तर :
आकृति एवं आलेख बनाते समय निम्नलिखित बातों का ध्यान रखना चाहिए :
- आकृति और आलेख का चयन : आलेख और आकृति को अधिक आकर्षक और प्रभावशाली बनाने के लिए उचित चुनाव होना चाहिए । जैसे – कुछ जानकारी को विभाजित स्तंभाकृति या वृत्तांश आकृति द्वारा प्रस्तुत कर सकते हैं । तो इसमें से उचित चयन आवश्यक है।
- स्पष्टता : आलेख और आकृति की प्रस्तुति स्पष्ट और स्वच्छ होनी चाहिए । विविध विभाजनों को अलग-अलग रंग या शेड से दर्शाना चाहिए ।
- उचित स्केलमाप : प्रस्तुत जानकारी को आलेख या आकृति बनाते समय उचित स्केलमाप लेना चाहिए । जिससे उसका कद उचित हो ।
- आकृति या आलेख के दोनों अक्षों पर जानकारी दर्शाना : आकृति या आलेख बनाते समय सर्वप्रथम X-अक्ष पर स्वतंत्र चल और y-अक्ष पर परतंत्र चल स्पष्ट रूप से दर्शाना चाहिए ।
- सांख्यकीय जानकारी का स्रोत : आलेख्न और आकृति में जिस सांख्यकीय जानकारी को दर्शाया गया हो उसका स्रोत दर्शा देना चाहिए । जिससे आलेख की विश्वसनीयता बढ़ाती है ।
- सांख्यकीय जानकारी की गणना की पद्धति : यदि जानकारी स्वयं स्पष्ट न हो और उसे सांख्यिकी की मदद से उसे स्पष्ट बनाया हो तो और उसके आधार पर आलेख बनाया हो तो उसके लिए गणना की पद्धति को संक्षिप्त में स्पष्ट करना चाहिए ।
2. स्तंभ आकृति बनाते समय ध्यान में रखने योग्य बातें बताइए ।
उत्तर :
स्तंभ आकृति बनाते समय निम्नलिखित बातों का ध्यान रखना चाहिए ।
- सर्वप्रथम x-अक्ष और y-अक्ष की रचना करनी चाहिए ।
- x-अक्ष पर स्वतंत्र चल और y-अक्ष पर परतंत्र चल स्पष्ट रूप से दर्शाना चाहिए ।
- y-अक्ष पर दर्शायी गयी जानकारी का उचित एक निश्चित स्केलमाप (प्रमाणमाप) लेना चाहिए ।
- प्रत्येक स्तंभ की चौड़ाई समान होनी चाहिए ।
- प्रत्येक स्तंभ का अंतर आकृति में समान होना चाहिए ।
- सामान्य रूप से ‘X’ अक्ष पर स्तंभ बनाया जाता है । इसलिए उसे आधार कहते हैं ।
- वर्तमान समय में कम्प्यूटर की सहायता से ऊर्ध्व स्तंभ के स्थान पर क्षैतिज स्तंभ (‘y’ अक्ष पर क्षैतिज) बनाने की पद्धति भी प्रचलित हुयी है ।
- प्रत्येक ऊर्ध्व स्तंभ जानकारी के क्रम में ही दर्शाना चाहिए । इस प्रकार प्रथम जानकारी के लिए स्तंभ उद्गम बिंदु से प्रथम बनाया जाता है ।
3. आलेख और आकृति के बीच अंतर स्पष्ट कीजिए ।
उत्तर :
| आकृति | आलेख |
| 1. सामान्य रूप से अवलोकित जानकारी का चित्र द्वारा प्रतिनिधित्व अर्थात् आकृति । | स्वयं स्पष्ट न हो ऐसी अवलोकित माहिती का चित्र द्वारा प्रतिनिधित्व अर्थात् आलेख । |
| 2. इसकी जानकारी स्वयं स्पष्ट होती है । | इसकी जानकारी स्वयं स्पष्ट नहीं होती है । |
| 3. सांख्यिकी की दृष्टि से आकृति की जानकारी असतत होती है । | सांख्यिकी की दृष्टि से आलेख की जानकारी सतत होती है । |
| 4. आकृति बनाने के लिए सांख्यिकी का गहरे ज्ञान की आवश्यकता नहीं है । | आलेख बनाने के लिए सांख्यिकी साधनों का उपयोग करना पड़ता है। इसके लिए गहरे ज्ञान की आवश्यकता होती है । |
| 5. आकृति को सामान्य व्यक्ति भी समझ सकता है । | आलेख विशेषज्ञयों एवं संशोधको के लिए उपयोगी है । |
4. अर्थशास्त्र संबंधित बातें व्यक्त करने के लिए सामान्य प्रजा तथा निष्णातो के लिए आकृति एवं आलेख का क्या महत्त्व है ?
उत्तर :
अर्थशास्त्र में सरकार, बैंक और अंतर्राष्ट्रीय संस्थाओं द्वारा दी गई जानकारी एवं आंकड़ों को विशेष विश्लेषण किया जाता है । परंतु जब विशेषज्ञों द्वारा घटनाओं एवं विश्लेषणों की चर्चा की जाती है, तब सामान्य व्यक्ति की रूचि उसमें नहीं होती । इसलिए इस जानकारी को समझने में आलेख और आकृति अधिक महत्त्वपूर्ण है । अर्थशास्त्र में आकृतियाँ एवं आलेख का महत्त्व निम्नानुसार है :
फ़ाइनेंशियल सॉफ़्टवेयर
- सामान्य रूप से कठिन एवं अटपटा लगनेवाले अर्थशास्त्र का अध्ययन आकृति द्वारा सरल बनता है और आलेख द्वारा अधिक स्पष्ट होता है ।
- अर्थशास्त्र में आये हुए कई परिबलों के अलग-अलग वर्षों के रूझानों को सरलता से एक ही आकृति अथवा आलेख में देख सकते हैं ।
- अर्थतंत्र के विविध क्षेत्रों में हुए परिवर्तनों को सरलता से समझा जा सकता है ।
- अर्थतंत्र के कुछ तत्त्वों के लिए वर्ग, प्रदेश, क्षेत्र एवं समयावधि के बीच तुलना सरलतापूर्वक की जा सकती है ।
- आलेख और आकृति से समय एवं शक्ति की बचत होती है ।
- अर्थशास्त्र के कठिन सिद्धांतों को आकृति और आलेख से सरलता से समझ सकते हैं ।
- आलेख और आकृति द्वारा प्राप्त जानकारी लंबे समय याद रहती है ।
- आलेख और आकृति द्वारा हमारा अध्ययन रुचिकर बनता है ।
5. अर्थशास्त्र के अध्ययन में कम्प्यूटर टेक्नोलोजी का उपयोग या महत्त्व को विस्तार से समझाइए ।
उत्तर :
अर्थशास्त्र का विद्यार्थी कम्प्यूटर से अपरिचित नहीं है । स्कूल में कम्प्यूटर का जब-तब उपयोग करते हैं । कुछ विद्यार्थियों के घर पर भी कम्प्यूटर है । अब तो मोबाइल फोन भी कम्प्यूटर की तरह उपयोग किया जाता है । अर्थशास्त्र के अध्ययन में कम्प्यूटर का उपयोग निम्नानुसार हैं :
(1) प्रेजन्टेशन बनाने और तैयार करने के लिए : अर्थशास्त्र के सिद्धांतों एवं अटपटी सांख्यकीय जानकारी को पावरपोईन्ट प्रेजन्टेशन द्वारा खूब सरलता से समझा सकते हैं । जैसे : अंदाजपत्र को समझाने के लिए तीन स्लाईड बनाकर समझा सकते हैं । एक में अंदाजपत्र का अर्थ एवं विभाग (खाता), दूसरी स्लाईड में अंदाजपत्र के विभागो (खातों) की जानकारी और तीसरी स्लाईड में अपने देश का अंदाजपत्र ।
(2) एक्सल वर्कशीट : अर्थशास्त्र में बड़े पैमाने पर सांख्यकीय जानकारी का उपयोग किया जाता है । विद्वान इस जानकारी की जाँच करते हैं । विश्लेषण करते हैं । इस जानकारी को एक्सल वर्कशीट में रखकर उसके जोड़, औसत, सहसम्बन्ध आदि के सम्बन्ध में जानकारी मिनटो में प्राप्त कर सकते हैं । जैसे : अपने देश के औद्योगिक उत्पादनों द्वारा होनेवाले उत्पादनों की जानकारी प्राप्त करने का प्रयास करें तब असंख्य वस्तुओं के उदाहरण मिलेंगे । इसे एक्सल शीट के द्वारा सरलता से समझ सकते हैं ।
(3) आलेख और आकृति द्वारा प्रस्तुति के लिए : कम्प्यूटर में अनेक प्रोग्राम हैं । जिनके द्वारा अर्थशास्त्र की विभिन्न जानकारी को आलेख और आकृति से समझा सकते है । जैसे : वर्ड फाइल में पूर्ति और माँगरेखा की आकृति बना सकते हैं ।
(4) अध्ययन सामग्री संचय या संभालने के लिए : अर्थशास्त्र के अध्ययन के लिए असंख्य शैक्षणिक साधन-सामग्री की आवश्यकता अनिवार्य होती है । इस सामग्री को किताब, नोटबुक में संभाल करके रखा जाय तो इसके लिए जगह, नमी (भेज), जीवजंतु से बिगड़ने का डर होता है । इसलिए इस सामग्री को कम्प्यूटर में संभाल कर रख सकते हैं । इसके उपरांत हार्ड डिस्क या पेन ड्राइव में साथ में रखकर कहीं पर ले जाते हैं | e-mail में संभालकर रखने से दुनिया के किसी भी कोने में बैठकर पढ़ सकते हैं । वर्तमान समय में Drop-Box, Google Drive, Digil-Locker आदि की व्यवस्था भी उपलब्ध है ।
(5) अन्य साधन : सांख्यिकी के एडवान्स प्रोग्राम जैसे SPSS, SHAZAM, E-views, SAS आदि असंख्य जानकारी के लिए सांख्यकीय गणना करते हैं । या प्रोग्राम महँगे होते हैं । ऐसे साधनों को संस्थाएँ उपयोग में लेती हैं । परंतु कुछ सोफ्टवेयर मुफ्त में इन्टरनेट पर से प्राप्त कर सकते हैं । जैसे कि Greti, PSPP, R आदि ।
6. अर्थशास्त्र के अध्ययन में इन्टरनेट टेक्नोलोजी के उद्देश्य (उपयोग) बताइए ।
उत्तर :
इन्टरनेट एक डिजिटल टेक्नोलोजी का एक स्वरूप है । जिसका हम दैनिक जीवन में उपयोग करते रहते है । अर्थशास्त्र के अध्ययन में इन्टरनेट टेक्नोलोजी का उपयोग या उद्देश्य निम्नानुसार है :
(1) ट्युटोरियल : कुछ वेबसाइटों पर अपने विषय के पावर पोइन्ट प्रेजन्टेशन, वांचन सामग्री आदि को Open access link में रखा जाता है । इस सामग्री को पढ़ने पर ट्युटोरियल जैसा अनुभव करते है ।
(2) त्वरित (शीघ्र) शिक्षण या जानकारी : कुछ संस्थाएँ विद्वानों के वक्तव्यों, वक्तव्यों के विडियो आदि Open access link पर रखती हैं । अनेक बार एसी वेबसाइट द्वारा अपने को वर्गखंड जैसा पढ़ने के लिए मिलता है । शिक्षकों के व्याख्यानों को स्कूल या कॉलेज के विद्यार्थियों के लिए टेलिविजन पर प्रसारित किया जाता है ।
जैसे : अर्थशास्त्र एवं अन्य विषयों में प्रवाह, MIT, Havard जैसी युनिवर्सिटी के विशेषजयों के व्याख्यान उपलब्ध है । जिन्हें शीघ्रता से प्राप्त कर सकते हैं ।
(3) वांचन सामग्री : इन्टरनेट पर असंख्य पुस्तकें, पत्रिकाएँ, लेख्न मुफ्त में पढ़ने के लिए मिलती है । कुछ जर्नलों पैसा भरकर पढ़ सकते हैं । इस सामग्री को e-books, e-General के नाम से जानते है ।
(4) विविध जानकारी प्राप्त करने के लिए : इन्टरनेट पर सर्च करके अर्थशास्त्र में डिग्री देनेवाली कॉलेजो तथा युनिवर्सिटीयों की जानकारी प्राप्त कर सकते हैं । इसके उपरांत किसी भी विषय की जानकारी सर्च करके प्राप्त कर सकते हैं ।
(5) अन्य जानकारी प्राप्त करने के लिए : इन्टरनेट पर सर्च करके रेफरन्स बुक्स, अर्थशास्त्रियों द्वारा दी गई परिभाषाएँ, उनके उद्धरण (Quotes) आदि प्राप्त कर सकते हैं ।
फ़ाइनेंशियल सॉफ़्टवेयर
(6) सांख्यकीय जानकारी : अर्थशास्त्र में मुख्य जानकारी के साथ गौण जानकारी का भी उपयोग किया जाता है । जैसे राज्य के बजट की जानकारी, बैंकिंग जानकारी, कृषि उत्पादन सम्बन्धी जानकारी, आयात-निर्यात का कद, गरीबी, बेकारी, औद्योगिक उत्पादन आदि । इन सभी जानकारी के लिए विश्वसनीय और अधिकृत स्रोत इन्टरनेट पर उपलब्ध हैं । जैसे बैंकिंग जानकारी के लिए RBI की वेबसाईट से प्राप्त कर सकते हैं ।
प्रश्न 5.
निम्नलिखित प्रश्नों के उत्तर विस्तार से लिखिए :
1. आकृति के प्रकारों को समझाइए ।
उत्तर :
आकृति के मुख्य छः प्रकार हैं :
- चित्राकृति
- छुटपुट बिन्दुओंवाली अथवा विकीर्ण आकृति
- समय आधारित अथवा तत्त्वों पर आधारित रेखाकृति
- वृत्त आकृति
- स्तंभ आकृति
- वृत्तांश आकृति
टिप्पणी : इनमें से चित्राकृति, छुटपुट बिन्दुओंवाली अथवा विकीर्ण आकृति तथा वृत्त आकृति पर हमारे अभ्यासक्रम में नहीं है । इसलिए शेष तीन आकृतियों की चर्चा करेंगे ।
(1) समय आधारित अथवा अन्य तत्त्वों पर आधारित रेखाकृति : सामान्य रुप से दो चलों के बीच की संबंध की रेखा और उसके ढाल को दर्शानवाली आकृति को रेखाकृति कहते हैं । जैसे – माँगरेखा, पूर्तिरेखा आदि । इसे सामयिक श्रेणी भी कहते हैं । x- अक्ष पर स्वतंत्र चल और y- अक्ष पर परतंत्र चल दर्शाये जाते है इसका खूब अधिक उपयोग होता हो । जैसे – विविध वर्षों में जनसंख्या, मुद्रास्फिति की दर, साक्षरता आदि को दर्शाने के लिए रेखाकृति या सामयिक श्रेणी का उपयोग करते है ।
(2) स्तंभ आकृति : यह किसी एक चल के मूल्य को विविध विभागों के बीच का वितरण दर्शाता है । जैसे – अलग- अलग समय पर देश में साक्षरता का अनुपात, स्त्री-पुरुष का प्रमाण आदि ।
- जब आकृति ऊर्ध्व या क्षैतिज स्तंभ द्वारा दर्शायी जाए तो उसे स्तंभ आकृति कहते हैं ।
- इसमें प्रत्येक विभाग या समय के लिए अलग-अलग स्तंभ बनाया जाता है । स्तंभ की ऊँचाई चल के मूल्य को दर्शाती है तथा इसके आधार पर विविध चलों की तुलना हो सकती है । इसके तीन प्रकार हैं :
(i) सरल स्तंभ आकृति
(ii) पास-पास की स्तंभाकृति
(iii) विभाजित स्तंभाकृति
(i) सरल स्तंभाकृति :
एक ही प्रकार की जानकारी को दर्शाने के लिए सादा या सरल स्तंभाकृति का उपयोग करते है ।
जैसे – एक ही आधार, प्रदेश, समय इत्यादि पर किसी मूल्य को दर्शाते है ।
(ii) पास-पास की स्तंभाकृति : जब किसी एक आधार पर एक से अधिक वर्गों के लिए मूल्य को दर्शाया जाए तो उसे पास
पास की स्तंभाकृति कहते हैं । इसमें अलग-अलग वर्गों के लिए अलग-अलग स्तंभ बनाए जाते हैं । जैसे – एक समय में स्त्री-पुरुष की साक्षरता ।
(iii) विभाजित स्तंभाकृति : जब स्तंभाकृति के प्रत्येक स्तंभ का मूल्य एक से अधिक उपविभागों में वितरण किया जाय तब विभाजित स्तंभ आकृति बनती है । इन उपविभागों को अलग-अलग रंग और रोड़ से दर्शाते है ।
* स्तंभ आकृति बनाते समय ध्यान में रखनेवाली बातें ।
- स्तंभाकृति बनाते समय निम्न बातों को ध्यान में रखना चाहिए ।
- सर्वप्रथम x-अक्ष और y-अक्ष की रचना करेंगे ।
- x-अक्ष पर समय, स्थान, वर्ष, क्षेत्र अर्थात् स्वतंत्र चल और y-अक्ष पर जन्मदर, मृत्युदर, गरीबी, बेकारी अर्थात् परतंत्र चल दर्शाते हैं ।
- प्रत्येक स्तंभ की चौड़ाई समान होनी चाहिए ।
- क्योंकि स्तंभ की चौड़ाई कोई शून्य नहीं दर्शाती है ।
- प्रत्येक स्तंभ की ऊँचाई स्तंभ के लिए चल के मूल्य के अनुरूप होनी चाहिए ।
- उद्गम बिन्दु (x-अक्ष) एवं प्रथम स्तंभ के बीच का अंतर जितना हो उतना ही अंतर प्रत्येक स्तंभों के बीच होना चाहिए ।
- प्रत्येक x स्तंभ x-अक्ष पर खींचा जाता है । कभी-कभी y-अक्ष पर क्षैतिज स्तंभ भी खींच सकते है ।
- प्रत्येक ऊर्ध्व स्तंभ दी गई जानकारी के क्रम में बनाया जाता है । इस प्रकार प्रथम जानकारी के लिए स्तंभ उद्गम बिन्दु की शुरूआत में बनाया जाता है ।
(3) वृत्तांश आकृति : वृत्तांश अर्थात् वृत्त का अंश । एक वृत्त को एक समष्टि मान लिया जाये और जानकारी को वृत्त में भाग करके दर्शाया जाए तो उसे वृत्तांश आकृति कहते हैं ।
- वृत्त का क्षेत्रफल 360° अंश होने से चल के कुल मूल्य का = 360 लेकर जानकारी के अनुसार प्रमाण के आधार पर वृत्तांश खींचकर उस मूल्यों को दर्शाया जाता है ।

* वृत्तांश आकृति बनाते समय ध्यान में रखनेवाली बातें :
- वृत्तांश आकृति में कुल जानकारी = 360° ली जाती है ।
- जानकारी के प्रत्येक संबंध विभाग के मूल्य के आधार पर उसका वृत्तांश ज्ञात किया जाता है और उसके संबंधित विभागों के वृत्तांश का योग 360° होना चाहिए ।
- दो समयावधि या प्रदेशों की तुलना के लिए कुल मूल्य के आधार पर वृत्त बनाकर दो वृत्तांश आकृति क्रम में अगल-बगल में बनाना चाहिए ।
2. अर्थशास्त्र के अध्ययन में टेकनोलॉजी के उपयोग को संक्षिप्त में समझाइए ।
उत्तर :
अर्थशास्त्र के अध्ययन में Tech. के विविध साधनो का योगदान महत्त्वपूर्ण हो, जो निम्नानुसार है :
फ़ाइनेंशियल सॉफ़्टवेयर
(A) कम्प्यूटर टेक्नोलॉजी : अर्थशास्त्र का विद्यार्थी कम्प्यूटर से अपरिचित नहीं है । स्कूल, घर में वो कम्प्यूटर का उपयोग करता
है । अब तो मोबाईल फोन भी कम्प्यूटर का काम करने लगा है । अर्थशास्त्र में कम्प्यूटर का उपयोग निम्नानुसार है :
(1) विषय के प्रेजेन्टेशन के लिए : अर्थशास्त्र के सिद्धांतो या अटपटी सांख्यिकीय जानकारी को पावरपोईंट प्रेजेन्टेशन द्वारा खूब सरलता से समझा सकते हैं । जैसे कि अंदाजपत्र को समझाने के लिए अंदाजपत्र का अर्थ, अंदाजपत्र के विभागों और अंदाजपत्र की अलग-अलग तीन स्लाईड बनाकर अंदाजपत्र के प्रकरण को सरलता से समझा सकते है ।
(2) विषय की जानकारी को एक्सेल वर्कशीट में रखने के लिए : अर्थशास्त्र के विषय में संशोधन करनेवाले विशेषज्ञ और विषय का गहरा अध्ययन करनेवाले बड़े पैमाने पर सांख्यिकीय जानकारी का उपयोग करते है । ऐसी जानकारी कम्प्यूटर के प्रोग्राम के लिए एक्सेल शीट में रखने से जानकारी का योग, औसत, सहसंबंध आदि मिनटों में ही प्राप्त कर सकते है । एक्सेल शीट यह सांख्यिकीय जानकारी को प्रोसेस करने के लिए एक प्रोग्राम है । इसके द्वारा सांख्यिकीय जानकारी के लिए विविध प्रकार । की आकृतियाँ भी बना सकते है ।
(3) आकृति और आलेख बनाने के लिए : कम्प्यूटर टेक्नोलॉजी के कितने ही प्रोग्रामो की मदद से अर्थशास्त्र की सांख्यिकीय माहिती का उपयोग करके आकृति या आलेख्न बना सकते है । जैसे – वर्ड फाईल के उपयोग से माँग – पूर्तिरेखा जैसी सरल आकृतियाँ बना सकते है । जबकि एक्सल शीट द्वारा अर्थशास्त्र की सांख्यिकीय माहिती के लिए आकृति – आलेख निश्चित माप के अनुसार बना सकते हैं।
(4) जानकारी को सुरक्षित रखने के लिए : अर्थशास्त्र के अध्ययन और संशोधन के लिए विषय की बहुत सारी जानकारी अनिवार्य होती है । ऐसी जानकारी को नोटबुक या पुस्तक में सुरक्षित रखना कठिन होता है । परन्तु कम्प्यूटर की हार्डडिस्क यां पेनड्राईव में संग्रहति करके कहीं पर भी सरलता से ले जा सकते है । इसके उपरान्त ऐसी जानकारी ई-मेल में सुरक्षित करके दुनिया के किसी भी छोर पर पढ़ सकते हैं । और हम अपने अध्ययन के सामग्री को आजीवन सुरक्षित रख सकते है । वर्तमान समय dropbox, google, drive, digilocker इत्यादि की भी व्यवस्था उपलब्ध है ।
(5) SPSS, SHAZAM जैसे एडवांस प्रोग्रामों का उपयोग : कम्प्यूटर द्वारा ऐसे एडवांस प्रोग्रामों का उपयोग करके असंख्य जानकारी के लिए सांख्यिकीय गणना हो सकती है ।
जो संशोधन संस्था या संशोधन करनेवाले के लिए उपयोगी बनती है । कम्प्यूटर एक साधन है । वह अध्ययन सामग्री नहीं है । परंतु अध्ययन को सरल बनाने में सहायता करता है । इसलिए उसका उपयोग ज्ञान या अध्ययन के प्रतिस्थापन में नहीं हो सकता है । कम्प्यूटर प्रोग्राम की जानकारी के बिना जानकारी पर से प्राप्त हुए परिणाम या आकृति – आलेख विषय के अध्ययन को गलत रास्ते पर ले जाते हैं ।
* इन्टरनेट टेक्नोलॉजी : इन्टरनेट एक डिजिटल टेक्नोलॉजी का एक स्वरूप है । अर्थशास्त्र के अध्ययन में इन्टरनेट टेक्नोलॉजी का महत्त्वपूर्ण योगदान है जो निम्नानुसार है : ट्यूटोरियल का कार्य करता है :
फ़ाइनेंशियल सॉफ़्टवेयर
(1) इन्टरनेट की कुछ वेबसाईट पर अर्थशास्त्र की अध्ययन सामग्री अर्थशास्त्र पावरपोईन्ट प्रेजेन्टेशन आदि ओपन ऐक्सेस लिंक द्वारा पढ़ सकते है । जो विषय का Tutorial का कार्य करता है ।
(2) विषय की जानकारी और शिक्षा तत्काल प्राप्त करने के लिए : इन्टरनेट की website पर कुछ संस्थाएँ, अर्थशास्त्र के विशेषज्ञों के भाषण, भाषणों के video आदि open access link द्वारा वर्गखण्ड जैसा विषय का तत्काल शिक्षण प्राप्त होता है । और विषय की संपूर्ण जानकारी मिलती है । विषय विशेषज्ञों, शिक्षकों के व्याख्यान, स्कूल या कॉलेज के विद्यार्थियों के लिए इन्टरनेट के माध्यम से T.V. पर प्रसारित होता है । जो वर्गखण्ड में वर्गखण्ड जैसा पढ़ने एवं सीखने को मिलता है ।
(3) विषय की पढ़ने योग्य सामग्री मिलती है : इन्टरनेट के माध्यम से असंख्य किताबे, विशेषज्ञों के लेख, विषय से संबंधित जनरल आदि फ्रि में पढ़ने को मिलते है । कभी-कभी अधिक खर्च करके भी पढ़ सकते है । विषय की विविध जानकारी मिलती है।
(4) विषय की विविध जानकारी तथा अन्य जानकारी प्राप्त करने के लिए : इन्टरनेट पर सर्च करके अर्थशास्त्र और अन्य विषय की डिग्री देनेवाली कॉलेज और युनिवर्सिटी की जानकारी प्राप्त की जा सकती है तथा विषय के संदर्भ पुस्तक विषय विशेषज्ञों के दिए गए लेख तथा परिभाषाएँ और उनके कोटेशन को भी प्राप्त कर सकते हैं ।
(5) सांख्यिकीय जानकारी प्राप्त करने के लिए : अर्थशास्त्र के विभिन्न अध्ययन के लिए आवश्यक जानकारी जैसे कि सरकार का बज़ट, कृषि उत्पादन, आयात-निर्यात, गरीबी का प्रमाण, रोजगार का प्रमाण, औद्योगिक उत्पादन आदि इन्टरनेट की अलग-अलग website से प्राप्त कर सकते है । अर्थशास्त्र में कुछ जानकारी राष्ट्रीय और अन्तर्राष्ट्रीय स्तर पर काम करनेवाली संस्थाओं की website पर से प्राप्त कर सकते है ।
जैसे कि – CSO, NSSO, WHO, UNO, CMIE आदि की website ।
* इन्टरनेट भी एक साधन है । शिक्षक या अपनी विचारशक्ति और तर्कशक्ति का स्थान नहीं ले सकता । इन्टरनेट पर से कभी गलत या अनावश्यक जानकारी प्राप्त होती है । जिससे अपने को दूर रहना चाहिए । किसी भी विश्वसनीय website से ही जानकारी प्राप्त करनी चाहिए । जिससे अपना अध्ययन अर्थपूर्ण बने ।
* कोम्पेक्ट डिस्क का उपयोग : अधिकृत संस्थाएँ अर्थतंत्र से संबंधित सांख्यिकीय जानकारी की CD बनाकर विक्रय करती है । जिसका उपयोग संशोधन संस्थाएँ, शिक्षण संस्थाएँ तथा उच्च अभ्यास के लिए किया जाता है ।
भारत में राष्ट्रीय आय की CD, जनगणना की CD, उद्योगों के सर्वे की CD, NSSO की CD आदि उपलब्ध है ।
अर्थतंत्र से बहुत सारी जानकारी की CD संबंधित मंत्रालय के सांख्यिकीय विभागों में से प्राप्त कर सकते है । समग्र अर्थतंत्र के महत्त्वपूर्ण अंकों की CD और software C&MIE – C&enter for Monitoring Indian Economy जैसी संस्था तैयार करके बाज़ार में विक्रय के लिए रखती है ।
अर्थतंत्र की जानकारी देनेवाली CD की कुछ जानकारी अनावश्यक होती है । इसमें से कौन-सी जानकारी उपयोगी है । यह निश्चित करना कठिन होता है । software उपयोग के लिए भी जानकारी होना जरूरी है ।
3. अर्थशास्त्र के अध्ययन में टेक्नोलॉजी की मर्यादाएँ या जोखिमों (भयस्थान) की चर्चा करे ।
उत्तर :
कम्प्यूटर की मर्यादाएँ : कम्प्यूटर एक साधन है । वो विविध जानकारी का संग्रह करता है । परन्तु सभी जानकारी अध्ययन सामग्री है ऐसा नहीं कह सकते है । वो अध्ययन प्रक्रिया को सरल बनाने में सहायता करता है परन्तु उसको उपयोग ज्ञान या अध्ययन के प्रतिस्थापन के रूप में उपयोग नहीं हो सकता है ।
- कम्प्यूटर प्रोग्राम की पर्याप्त जानकारी के बिना विषय का अध्ययन किया जाए तो गलत परिणाम या गलत आकृति या आलेख बनेगा । जो हमें कठिनाई में डाल देगा ।
- कम्प्यूटर में जानकारी गलत जगह पर save हो तो Delete होने का डर रहेगा ।
* इन्टरनेट की मर्यादाएँ :
- इन्टरनेट जानकारी प्राप्त करने का एक साधन है वह शिक्षक या अपनी विचारशक्ति या तर्कशक्ति का स्थान नहीं ले सकता ।
- इन्टरनेट पर अनेक प्रकार की गलत, अप्रस्तुत एवं नकल की गई जानकारी उपलब्ध होती है । ऐसी जानकारी के उपयोग से दूर रहना चाहिए ।
- इन्टरनेट पर उपलब्ध जानकारी में से सही और गलत जानकारी को अलग करने के लिए तर्क का उपयोग करना चाहिए । कोई भी जानकारी इन्टरनेट की विश्वसनीय website से ही प्राप्त करनी चाहिए । नहीं तो गलत निष्कर्ष पर पहुँच जाऐगें ।
CD की मर्यादाएँ :
- समग्र अर्थतंत्र की जानकारी और सांख्यिकीय जानकारी की रिपोर्ट तैयार करके कुछ संस्थाएँ ऐसी अधिकृत जानकारी की CD तैयार करके बाज़ार में विक्रय के लिए रखती है । इस CD में से कौन-सी जानकारी उपयोगी है यह ढूँढ़ने का कार्य कठिन होता है ।
- CD की जानकारी के उपयोग के लिए अनेक प्रकार के software का उपयोग आवश्यक है । यदि उसके संबंध में जानकारी न हो तो CD की माहिती का उपयोग नहीं हो सकता है ।
4. किसी एक दुकान में प्रति दो महीने में चॉकलेट बॉक्स का विक्रय निम्नानुसार है । इस पर से सादी रतंभाकृति बनाकर विश्लेषण कीजिए ।
| महीना | विक्रय (इकाई में) |
| जन-फरवरी | 35 |
| मार्च-अप्रैल | 60 |
| मई-जून | 65 |
| जुलाई-अगस्त | 40 |
| सितम्बर-अक्टूबर | 50 |
| नवम्बर-दिसम्बर | 30 |
उत्तर :

विश्लेषण :
- सर्वप्रथम x-अक्ष और y-अक्ष की रचना की ।
- x-अक्ष पर समयांतराल और y-अक्ष पर विक्रय (इकाई) में दर्शाया गया है ।
- जनवरी-फरवरी दो महीनों में चॉकलेट बॉक्स का वितरण 35 इकाई है ।।
- मार्च-अप्रैल में दो महीनों चॉकलेट बॉक्स का वितरण 60 इकाई हो गया है ।
- मई-जून में चॉकलेट बॉक्स का विक्रय 65 है ।
- जुलाई-अगस्त में चॉकलेट बॉक्स का वितरण 40 इकाई है ।
- सितम्बर-अक्टूबर दो महीनों में चॉकलेट बॉक्स का वितरण 50 है ।
- नवम्बर-दिसम्बर दो महीनों में चॉकलेट बॉक्स का वितरण 30 इकाई है ।
- सबसे अधिक बॉक्स का विक्रय मई-जून महीनों में है । तथा सबसे कम चॉक्लेट बॉक्स का विक्रय नवम्बर-दिसम्बर में है ।
5. निम्नलिखित जानकारी पर से सामायिक श्रेणी (समय आधारित रेखा आकृति) बनाकर विश्लेषण कीजिए ।
| समयांतराल | दशक में जनसंख्या वृद्धिदर % में |
| 1951-’61 | 21.64 |
| 1961-71 | 24.80 |
| 1971-’81 | 24.66 |
| 1981-91 | 23.87 |
| 1991-2001 | 21.54 |
| 2001-2011 | 17.64 |
उत्तर :

विश्लेषण :
- सर्वप्रथम x-अक्ष और y-अक्ष की रचना की ।
- x-अक्ष पर समयांतराल और y-अक्ष पर जनसंख्या वृद्धिदर प्रतिशत में दर्शायी गयी है ।
- 1951 से 1961 के दशक में जनसंख्या वृद्धिदर 21.64% थी ।
- 1961-71 के दशक में यह वृद्धिदर बढ़कर 24.80% हो गयी ।
- 1971-81 के दशक में जनसंख्या वृद्धिदर 24.66% है ।
- 1981-91 के दशक में जनसंख्या वृद्धिदर में मामूली सी कमी होकर 23.87% रह गयी ।
- 1991 से 2001 के दशक में जनसंख्या वृद्धिदर 21.54% है ।
- अंतिम दशक 2001 से 2011 के दशक में जनसंख्या वृद्धिदर 17.64% रह गयी ।
- 1981 के बाद भारत में जनसंख्या वृद्धिदर घटती हुई मालूम पड़ती है । जो सकारात्मक है ।
6. किसी एक दुकान में प्रति दो महीने में विविध माप के चॉकलेट बॉक्स का विक्रय नीचे दर्शाया गया है । इस जानकारी पर से पास-पास की स्तंभाकृति बनाकर विश्लेषण कीजिए ।

उत्तर :

विश्लेषण :
- तुलनात्मक अध्ययन के लिए पास-पास की स्तंभाकृति अधिक उपयोगी है ।
- सर्वप्रथम x-अक्ष और y-अक्ष की रचना करेंगे ।
- x-अक्ष पर महीने और y-अक्ष पर विभिन्न पद के बॉक्सों का विक्रय (इकाई) में दर्शाया गया है ।
- जनवरी-फरवरी महीनों में छोटे, मध्यम और बड़े बॉक्सों का विक्रय क्रमश: 30, 15 और 25 है ।
- मार्च-अप्रैल में छोटे, मध्यम और बड़े बॉक्सो का विक्रय क्रमश: 40, 25 और 50 हो गया है ।
- मई-जून में बॉक्सों का वितरण क्रमश: 50, 35 और 25 है ।
- जुलाई-अगस्त में छोटे, मध्यम और बड़े पैमाने के बॉक्सो का वितरण क्रमश: 25, 15 और 10 बॉक्स है ।
- सितम्बर-अक्टूबर महीनों में बॉक्सों का विक्रय क्रमश: 40, 20 और 25 है ।
- नवम्बर-दिसम्बर महीनों में छोटे, मध्यम और बड़े बॉक्सो का विक्रय 60, 40 और 20 है ।
- बॉक्सों का विक्रय सबसे अधिक नवम्बर और दिसम्बर दो महीनों में है ।
- बॉक्सो का विक्रय सबसे कम जुलाई-अगस्त के महीनों में है ।
- अलग-अलग बॉक्सो के विक्रय से कोई भी व्यापारी अपने आगामी वर्षों का आयोजन कर सकता है ।
7. प्रति दो महीने के अंतर में ग्रामीण और शहरी विस्तार में चॉकलेट के बॉक्स का विक्रय दिया गया है । इस पर विभाजित स्तंभाकृति बनाकर विश्लेषण कीजिए ।

उत्तर :

विश्लेषण :
- तुलनात्मक जानकारी के विश्लेषण के लिए विभाजित स्तंभ आकृति का उपयोग किया जाता है ।
- सर्वप्रथम x-अक्ष और y-अक्ष की रचना करेंगे ।
- x-अक्ष पर महीना और y-अक्ष पर विक्रय (इकाई) में स्पष्ट रूप से दर्शाइये ।
- जनवरी-फरवरी के महीनों में ग्रामीण क्षेत्रों में 30 बॉक्स और शहरी विस्तारों में 40 बॉक्स का विक्रय हुआ है ।
- मार्च-अप्रैल के महीने में ग्रामीण-शहरी विस्तारों में चॉकलेट के बॉक्सो का विक्रय क्रमश: 35 और 80 है ।
- मई-जून के महीनों में ग्रामीण क्षेत्र में 40 बॉक्स और शहरी क्षेत्र में 70 बॉक्सों का विक्रय हुआ है ।
- जुलाई और अगस्त के महीनों में सबसे कम बॉक्सो का विक्रय 20 और 30 है ।
- सितम्बर और अक्टूबर महीनों में बॉक्सो का विक्रय ग्रामीण में 35 बॉक्स और शहरो में 50 है ।
- नवम्बर और दिसम्बर महीनों में ग्रामीण और शहरी विस्तारो में चॉकलेट बॉक्स का वितरण क्रमश: 40 और 80 सबसे अधिक है ।
8. अलग-अलग वस्तुओं के पीछे एक विद्यार्थी द्वारा उपयोग उसके जेब खर्च प्रतिशत में निम्नानुसार दिया गया है । उससे वृत्तांश आकृति बनाकर विश्लेषण कीजिए :
| वस्तु | प्रतिशत खर्च | वृत्तांश की गणना |
| किताबें | 20 | (20 × 360) ÷ 100 = 72° |
| स्टेशनरी | 5 | (5 × 360) ÷ 100 = 18° |
| फोन, कम्प्यूटर | 30 | (30 × 360) ÷ 100 = 108° |
| नास्ता | 30 | (30 × 360) ÷ 100 = 1080 |
| कपड़ा | 15 | (15 × 360) ÷ 100 = 54° 100 |
| कुल | 100 | (100 × 360) ÷ 100 = 360° |
उत्तर :

विश्लेषण :
- तुलनात्मक अध्ययन के लिए वृत्तांश आकृति का उपयोग किया जाता है ।
- वृत्तांश आकृति में जानकारी को दर्शाने के लिए अंश ज्ञात करने के लिए उपर गणना दर्शायी गयी है ।
- एक विद्यार्थी अपने कुल खर्च में से 20% खर्च किताबों के पीछे करता है ।
- विद्यार्थी स्टेशनरी के पीछे मात्र 5% खर्च करता है ।
- फोन और कम्प्यूटर के पीछे 30% खर्च करता है ।
- विद्यार्थी नास्ते के पीछे भी 30% खर्च करता है ।
- कपड़ों के पीछे 15% खर्च करता है ।
- इस प्रकार कुल खर्च 100% हो जाता है । और अंश 360° होता है ।
9. नीचे दी गई आंकड़ाकीय जानकारी के आधार पर आलेख बनाकर उसका विश्लेषण कीजिए ।

उत्तर :

विश्लेषण :
उपरोक्त आलेख में x अक्ष पर वर्ष और y अक्ष पर सार्वजनिक खर्च प्रतिशत में दर्शाया गया है ।
- सन् 1960-61 में भारत में सार्वजनिक खर्च 18.6% रहा ।
- सन् 1970-71 में सार्वजनिक खर्च बढ़कर 21.6% हो गया ।
- सन् 1980-81 में सार्वजनिक खर्च बढ़कर 33.3% हो गया ।
- सन् 1988-89 में सार्वजनिक खर्च बढ़कर 43.0% हो गया ।
- सन् 1960-61 से 1988-89 तक भारत के सार्वजनिक खर्च में उत्तरोत्तर वृद्धि होती रही है ।
- सन् 1960-’61 से 1988-89 के 28 वर्षों में भारत में सार्वजनिक क्षेत्र में कुल 24.4% की वृद्धि हुई ।
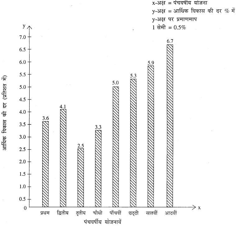
10. भारत में सन् 1980-81 के भावस्तर के आधार पर वार्षिक आर्थिक विकास की दर निम्नलिखित है । उस पर से आलेख तैयार करके संक्षिप्त में उसका विश्लेषण कीजिए ।

उत्तर :

विश्लेषण :
उपरोक्त आलेख में x अक्ष पर पंचवर्षीय योजनायें और y अक्ष पर भारत में आर्थिक विकास की दर प्रतिशत में दर्शायी गई है ।
- विभिन्न पंचवर्षीय योजनाओं के दौरान भारत में आर्थिक विकास की दर अस्थिर और बदलती रही है ।
- प्रथम, तृतीय और चौथी पंचवर्षीय योजना दौरान आर्थिक विकास की दर बहुत कम रही ।
- द्वितीय, पाँचवी, छट्ठी, सातवीं और आठवीं पंचवर्षीय योजना के दौरान आर्थिक विकास की दर ऊँची रही ।
- औद्योगिक उत्पादन दुगना होने से द्वितीय पंचवर्षीय योजना के समयकाल को औद्योगिक क्रांति के रूप में जाना जाता है ।
- इस योजना में आधारभूत और चाबीरूप उद्योगों की स्थापना अधिक हुई । तीसरी और चौथी योजना में औद्योगिक अशांति, कृषि क्षेत्र का धीमा विकास इत्यादि के कारण आर्थिक विकास की दर नीची रही ।
- आठ पंचवर्षीय योजनाओं के दौरान औसत विकास की दर 4.5% रही ।
11. गुजरात में साक्षरता सम्बन्धी नीचे की माहिती को सामयिक श्रेणी आलेख में प्रस्तुत करके विश्लेषण कीजिए ।

उत्तर :

विश्लेषण :
उपरोक्त आलेख में x अक्ष पर वर्ष और y अक्ष पर साक्षरता को प्रतिशत (%) में दर्शायी गई है ।
- गुजरात में वर्ष 1951 में साक्षरता का प्रमाण 21.69% था ।
- यह साक्षरता का प्रमाण बढ़कर 1961 में 30.45% हो गया अर्थात् 1951-61 के दशक में मात्र 8.76% की वृद्धि हुई
- वर्ष 1971 में साक्षरता का प्रमाण बढ़कर 35.79% हो गई । अर्थात् 1961-’71 के दशक में (35.79 – 30.45) 5.34% की वृद्धि हुई है ।
- इसी प्रकार क्रमश: वर्ष 1981, 91 में साक्षरता बढ़कर क्रमश: 49.90% एवं 61.29% हुई है ।
- वर्ष 2001 में साक्षरता बढ़कर 67.97% हो गई । और 2011 में यह साक्षरता बढ़कर 72.1 होगी ।
- आलेख पर से हम कह सकते हैं कि साक्षरता के प्रमाण में वृद्धि हुई है । लेकिन हमें और भी साक्षरता के प्रमाण को बढ़ाने की आवश्यकता है ।
12. 1999 में चीन और भारत में तीन मुख्य क्षेत्रों में नीचे की माहिती को पास-पास की स्तंभाकृति में प्रस्तुत करके विश्लेषण कीजिए :

उत्तर :

विश्लेषण :
- आलेख में x अक्ष पर देश तथा y अक्ष पर रोजगारी प्रतिशत में दर्शाई गयी है ।
- चीन के लोग कृषि क्षेत्र में से 50% लोग रोजगार प्राप्त करते हैं जबकि यह मात्रा भारत में 60.5% है । अर्थात् भारत के नागरिक चीन की अपेक्षा 10.5% अधिक रोजगार खेती में से प्राप्त करते हैं ।
- चीन के नागरिक उद्योगों में से 22.0% रोजगार प्राप्त करते हैं जबकि यह मात्रा भारत में 16.8% है । अर्थात् चीन की अपेक्षा भारत में 5.2% उद्योगों में कम है ।
- सेवा के क्षेत्र में चीन की जनसंख्या का 28% हिस्सा रोजगार प्राप्त करता है । भारत की जनसंख्या का सेवा के क्षेत्र में से 22.7% रोजगार प्राप्त करती है । सेवा के क्षेत्र में भी भारत से चीन लगभग 6% अधिक है ।
- निष्कर्ष रूप में कह सकते हैं कि प्रत्येक क्षेत्र में चीन भारत से अधिक रोजगारी प्राप्त करता है । अत: भारत की अपेक्षा चीन में बेकारी का प्रमाण कम है ।
13. 1999 में चीन और भारत के मुख्य तीन क्षेत्रों में रोजगारी की जानकारी निम्नानुसार दी गई है । इस पर से वृत्तांश आकृति बनाकर विश्लेषण कीजिए :

उत्तर :

विश्लेषण :
- तुलनात्मक अध्ययन के लिए भारत और चीन में रोजगारी से सम्बन्धित सांख्यकीय जानकारी वृत्तांश आकृति द्वारा प्रस्तुत की गयी है ।
- चीन की रोजगारी में कृषि क्षेत्र का हिस्सा 50% और भारत में 60.5% है । जो दोनों क्षेत्रों से अधिक है ।
- सेवाक्षेत्र में चीन में 28% और भारत में यह प्रमाण 22.7% है ।
- उद्योग क्षेत्र में चीन में 22% और भारत में 16.8% है ।
- सेवा और उद्योग में भारत की अपेक्षा चीन में रोजगारी का प्रमाण अधिक है ।
- कृषि क्षेत्र में चीन की अपेक्षा भारत में रोजगारी का प्रमाण अधिक है ।
- समस्त विश्लेषण पर ऐसा कह सकते हैं कि भारत की अपेक्षा चीन का विकास अधिक है ।
14. भारत के रजिस्ट्रार जनरल एण्ड सेन्सस कमिशनर के द्वारा प्रकाशित भारतीय जनगणना की माहिती 2001 में निम्नानुसार प्राप्त हुई । उस पर आलेख तैयार करके विश्लेषण कीजिए :

उत्तर :

विश्लेषण :
- आलेख x अक्ष पर दस-दस वर्ष के समयांतर को तथा y अक्ष पर जनसंख्या वृद्धि दर प्रतिशत में दर्शाई गयी है ।
- 1921 से 2001 तक के 80 वर्षों में भारत में जनसंख्या वृद्धि दर लगभग दुगनी हुई है ।
- 1941 से 1971 तक जनसंख्या वृद्धि दर सतत बढ़ी है ।
- 1961 से 1981 के 20 वर्षों में यह दर लगभग 25% जितना रहा है । इसलिए इस समय में जनसंख्या तेजी से बढ़ी है अर्थात् इसी समय को भारत में जनसंख्या विस्फोट का समय माना गया है ।
- 1981 के बाद सरकार के प्रयत्नों तथा जनसंख्या नीति के कारण जनसंख्या वृद्धि दर घटती हुई मालूम पड़ती है ।
15. भारत सरकार की वित्तीय संस्था के आर्थिक विभाग के द्वारा 2001-2002 में हुए सर्वेक्षण के आधार पर गरीबी से सम्बन्धित सूचना को आकृति में प्रस्तुत करके विश्लेषण कीजिए ।

उत्तर :

विश्लेषण :
- आलेख में x अक्ष पर वर्ष तथा y अक्ष पर ग्रामीण एवं शहरी गरीबी को प्रतिशत में दर्शाया गया है ।
- 1977-78 में ग्रामीण गरीबी 53.1% तथा शहरी गरीबी 45.2% है ।
- 1977-78 से 1987-88 में ग्रामीण गरीबी घटकर 39.1 % रह गई तथा शहरी गरीबी 38.2% रही । इस प्रकार इस समयांतर में क्रमश: 14% तथा 7% जितनी गरीबी कम हई ।
- 1987-’88 से 1993-94 के 6 वर्षों में ग्रामीण गरीबी में 1.8% घटकर 37.3% हुई तथा शहरी गरीबी में 5.8% घटकर 32.4% गरीबी का प्रमाण रहा ।
- 1993-94 से 1999-’00 के 6 वर्षों के दरम्यान ग्रामीण एवं शहरी गरीबी में क्रमश: 10.2 तथा 8.8 प्रतिशत जितनी कमी आई है, जो प्रशंसनीय है ।
- समस्त आलेख पर से हम इस निष्कर्ष पर पहुँचे हैं कि शहर की अपेक्षा गाँव में हमेंशां गरीबी का प्रमाण अधिक रहा है ।



