
GSEB Solutions Class 10 Science Chapter 2 ઍસિડ, બેઇઝ અને ક્ષાર
ઍસિડ, બેઇઝ અને ક્ષાર Class 10 Solutions Science Chapter 2
Class 10 Science ઍસિડ, બેઇઝ અને ક્ષાર Textbook Questions and Answers
સ્વાધ્યાયના પ્રશ્નોત્તર
પ્રશ્ન 1. એક દ્રાવણ લાલ લિટમસને ભૂરું બનાવે છે. તેની pH લગભગ …………………. હશે.
(a) 1
(b) 4
(c) 5
(d) 10
પ્રશ્ન 2. એક દ્રાવણ ઈંડાંના પીસેલા કવચ (કોષો) સાથે પ્રક્રિયા કરી વાયુ ? ઉત્પન્ન કરે છે, જે ચૂનાના પાણીને દૂધિયું બનાવે છે, તો દ્રાવણ ………………… ધરાવે છે.
(a) NaCl
(b) HCl
(c) LiCl
(d) KCl
પ્રશ્ન 3. 10 mL NaOHના દ્રાવણનું 8mL આપેલ HClના દ્રાવણ વડે સંપૂર્ણ તટસ્થીકરણ થાય છે. જો આપણે તે જ NaOHનું 20 mL દ્રાવણ લઈએ, તો તેને તટસ્થ કરવા માટે HCના દ્રાવણ(પહેલાં હતું તે જ દ્રાવણ)ની જરૂરી માત્રા ………………. .
(a) 4 mL
(b) 8 mL
(c) 12 mL
(d) 16 mL
Hint: તટસ્થીકરણ પ્રક્રિયા મુજબ, 10 mL NaOH એ 8 mL
HClનું તટસ્થીકરણ કરે છે. : 20 mL NaOH એ (?)
∴ 20 mL × 8 mL = 16 mL
∴
= 16 mL
પ્રશ્ન 4. અપચાના ઉપચાર માટે નીચેના પૈકી કયા પ્રકારની દવાઓનો ઉપયોગ થાય છે?
(a) ઍન્ટિબાયોટિક (પ્રતિજીવી)
(b) એનાલ્જસિક (વેદનાહર)
(c) ઍન્ટાસિડ (પ્રતિઍસિડ)
(d) ઍન્ટિસેપ્ટિક (જીવાણુનાશી)
ઉત્તર:
(c) ઍન્ટાસિડ (પ્રતિઍસિડ)
પ્રશ્ન 5. નીચે દર્શાવેલ પ્રક્રિયાઓ માટે પહેલાં શબ્દ સમીકરણો અને ત્યારબાદ સમતોલિત સમીકરણો લખોઃ
(a) મંદ સેફ્યુરિક ઍસિડની દાણાદાર ઝિંક સાથે પ્રક્રિયા કરતાં.
(b) મંદ હાઇડ્રોક્લોરિક ઍસિડની મૅગ્નેશિયમની પટ્ટી સાથે છે પ્રક્રિયા કરતાં.
(c) મંદ સક્યુરિક ઍસિડની ઍલ્યુમિનિયમના ભૂકા સાથે પ્રક્રિયા કરતાં.
(d) મંદ હાઇડ્રોક્લોરિક ઍસિડની લોખંડના વહેર સાથે પ્રક્રિયા કરતાં.
ઉત્તર:
(a) ઝિંક + મંદ સફ્યુરિક ઍસિડ → ઝિંક સલ્ફટ + હાઇડ્રોજન વાયુ
Zn(s) + H2SO4(aq) → ZnSO4(aq) + H2(g)
(b) મૅગ્નેશિયમ + મંદ હાઇડ્રોક્લોરિક ઍસિડ — મૅગ્નેશિયમ ક્લોરાઇડ + હાઇડ્રોજન વાયુ
Mg(s) + 2HCl(aq) → MgCl2(aq) + H2(g)
(c) ઍલ્યુમિનિયમ + મંદ સક્યુરિક ઍસિડ → ઍલ્યુમિનિયમ સલ્ફટ + હાઇડ્રોજન વાયુ
2Al(s) + 3H2SO4(aq) → Al2(SO4)3(aq) + 3H2(g)
(d) લોખંડ + મંદ હાઇડ્રોક્લોરિક ઍસિડ → આયર્ન ફ્લોરાઇડ + હાઇડ્રોજન વાયુ
Fe(s) + 2HCl(aq) → FeCl2(aq) + H2(g)
પ્રશ્ન 6. આલ્કોહોલ અને લૂકોઝ જેવાં સંયોજનો હાઈડ્રોજન ધરાવે છે, પરંતુ તેઓ ઍસિડની માફક વર્ગીકૃત થતા નથી. તે સાબિત કરવા માટે એક પ્રવૃત્તિ વર્ણવો.
ઉત્તર: આકૃતિ 2.3માં દર્શાવ્યા મુજબ સાધનો ગોઠવો.
હવે, દ્રાવણ તરીકે આલ્કોહોલ (ઇથેનોલ) ઉમેરો અને અવલોકન નોંધો. ત્યારબાદ આલ્કોહોલને બદલે લૂકોઝનું દ્રાવણ ઉમેરો અને અવલોકન નોંધો.
અવલોકનઃ બંને દ્રાવણો વખતે બલ્બ પ્રકાશિત થતો નથી, જે સૂચવે છે કે, બંને દ્રાવણોમાંથી વિદ્યુતપ્રવાહ પસાર થતો નથી. આ પ્રયોગ સૂચવે છે કે, ઇથેનોલ અને લૂકોઝનું આયનીકરણ થતું નથી. પરિણામે તેમાં H+(aq) આયનો મુક્ત થતા નથી. જ્યારે ઍસિડનાં દ્રાવણોમાં H+(aq) આયનો મુક્ત થતા હોવાથી તેના દ્રાવણમાંથી વિદ્યુતપ્રવાહ પસાર થાય છે.
આમ, આલ્કોહોલ અને ડ્યુકોઝમાં હાઇડ્રોજન હોવા છતાં તેમનું ઍસિડ શ્રેણીમાં વર્ગીકરણ થતું નથી.
પ્રશ્ન 7. શા માટે નિત્યંદિત પાણી વિદ્યુતનું વહન ન કરે, જ્યારે વરસાદી પાણી વિદ્યુતનું વહન કરે?
ઉત્તર: નિયંદિત પાણી એ શુદ્ધ પાણી છે અને તે આયનો ધરાવતું નથી. જ્યારે વરસાદનું પાણી ઍસિડ જેવી અશુદ્ધિઓ ધરાવે છે, જે પાણીમાં ઓગળતા આયનો મુક્ત કરે છે.
આમ, નિયંદિત પાણીમાં આયનો ન હોવાથી તેમાં વિદ્યુતનું વહન કરતું નથી, જ્યારે વરસાદી પાણીમાં આયનો હોવાથી તે વિદ્યુતનું વહન કરે છે.
પ્રશ્ન 8. શામાટે ઍસિડ પાણીની ગેરહાજરીમાં ઍસિડિક વર્તણૂક દર્શાવતા છે નથી?
ઉત્તરઃ પાણીની ગેરહાજરીમાં ઍસિડ H+(aq) આયનો મુક્ત કરી શકતા નથી. ઍસિડિક વર્તણૂક માટે H+(aq) આયનો જવાબદાર છે. આમ, પાણીની ગેરહાજરીમાં ઍસિડ H+(aq) આયનો મુક્ત કરી શકતા ના હોવાથી તે ઍસિડિક વર્તણૂક દર્શાવતા નથી.
પ્રશ્ન 9. પાંચ દ્રાવણો A, B, C, D અને મને સાર્વત્રિક સૂચક દ્વારા તપાસતાં તે અનુક્રમે 4, 1, 11, 7 અને 9 pH દર્શાવે છે, તો કયું દ્રાવણ …
(a) તટસ્થ હશે?
(b) પ્રબળ બેઝિક હશે?
(c)પ્રબળ ઍસિડિક હશે?
(d) નિર્બળ ઍસિડિક હશે?
(e) નિર્બળ બેઝિક હશે?
pHનાં મૂલ્યોને હાઇડ્રોજન આયનની સાંદ્રતાના ચડતા ક્રમમાં દર્શાવો.
ઉત્તર:
(1) (a) દ્રાવણ ‘D’ તટસ્થ હશે. . તેની pH 7 છે.
(b) દ્રાવણ ‘C’ પ્રબળ બેઝિક હશે.
∵ તેની pH 11 (સૌથી વધુ) છે.
(c) દ્રાવણ ‘B’ પ્રબળ ઍસિડિક હશે.
∵ તેની pH 1 (સૌથી ઓછી) છે.
(d) દ્રાવણ “A’ નિર્બળ ઍસિડિક હશે. . તેની pH 4 છે.
(e) દ્રાવણ ‘E’ નિર્બળ બેઝિક હશે. . તેની pH 9 છે.
(2) pHનાં મૂલ્યોને આધારે હાઇડ્રોજન આયનની સાંદ્રતાનો ચડતો ક્રમ નીચે પ્રમાણે છે:
pH : 11 < 9 < 7 < 4 < 1
(હાઇડ્રોજન : 10-11 < 10-9 < 10-7 < 10-4 < 10-1 આયનની
સાંદ્રતા Mમાં) [H+] = 10-pH)
પ્રશ્ન 10.
કસનળી A અને Bમાં સમાન લંબાઈની મૅગ્નેશિયમની પટ્ટીઓ લીધેલી છે. કસનળી Aમાં હાઈડ્રોક્લોરિક ઍસિડ HCl ઉમેરવામાં આવે છે અને કસનળી Bમાં ઍસિટિક ઍસિડ (CH3COOH) ઉમેરવામાં આવે છે. કઈ કસનળીમાં અતિ તીવ્ર H2(g)ના ઊભરા મળે છે? શા માટે?
ઉત્તર:
હાઇડ્રોક્લોરિક ઍસિડ (HCl) એ ઍસિટિક ઍસિડ (CH3COOH) કરતાં વધુ પ્રબળ ઍસિડ હોવાથી તેનું પ્રક્રિયા દરમિયાન H+ અને Cl+ આયનોમાં સંપૂર્ણ આયનીકરણ થતાં વધુ H+ આયનો ઉત્પન્ન થાય છે. આથી કસનળી Aમાં અતિ તીવ્ર H2(g)ના ઊભરા મળશે.
પ્રશ્ન 11.
તાજા દૂધની pH6 છે. જો તેનું દહીંમાં રૂપાંતર થાય, તો તેની pHના ફેરફાર વિશે તમે શું વિચારો છો? તમારો ઉત્તર સમજાવો.
ઉત્તર:
દૂધનું જ્યારે દહીંમાં રૂપાંતર થાય છે ત્યારે લૅક્ટિક ઍસિડ બને છે. તેને લીધે pHનું મૂલ્ય ઘટે છે અને દહીં સ્વાદે ખાટું લાગે છે.
પ્રશ્ન 12.
એક દૂધવાળો તાજા દૂધમાં ખૂબ જ અલ્પ માત્રામાં બેકિંગ સોડા ઉમેરે છે.
(a) તે તાજા દૂધની pHને 6થી થોડી બેઝિક તરફ શા માટે ફેરવે છે?
(b) શા માટે આવું દૂધ દહીં બનવા માટે વધુ સમય લે છે?
ઉત્તર:
(a) તાજા દૂધમાં બેકિંગ સોડા ઉમેરવામાં આવે, તો pHનું મૂલ્ય 6થી વધે છે, કારણ કે બેકિંગ સોડા બેઝિક ગુણ ધરાવે છે.
(b) દૂધમાં અલ્પ માત્રામાં બેકિંગ સોડા (ખાવાનો સોડા) ઉમેરતાં દૂધ બેઝિક બને છે. તેથી દૂધમાં રહેલ લૅક્ટિક ઍસિડનું તટસ્થીકરણ થાય છે અને તેથી દૂધ દહીંમાં રૂપાંતરિત થવા માટે વધુ સમય લે છે.
પ્રશ્ન 13.
પ્લાસ્ટર ઑફ પૅરિસને ભેજયુક્ત પાત્રમાં સંગૃહીત કરવું જોઈએ. શા માટે? સમજાવો.
ઉત્તર:
પ્લાસ્ટર ઑફ પૅરિસને ભેજયુક્ત પાત્રાવાસણ)માં સંગૃહીત કરવું જોઈએ, કારણ કે તે ભેજ સાથે પ્રક્રિયા કરી સખત ઘન પદાર્થ જિસમમાં ફેરવાય છે. પરિણામે તે પ્લાસ્ટર ઑફ પૅરિસ તરીકેનો ગુણ ધરાવતો નથી.
પ્રશ્ન 14.
તટસ્થીકરણ પ્રક્રિયા શું છે? બે ઉદાહરણ આપો.
ઉત્તર:
જે પ્રક્રિયામાં ઍસિડ અને બેઇઝ વચ્ચે પ્રક્રિયા થઈ ક્ષાર અને પાણી બને છે, તે પ્રક્રિયાને તટસ્થીકરણ પ્રક્રિયા કહે છે.
દા. ત.,
ટૂંકમાં, તટસ્થીકરણ પ્રક્રિયાને નીચે પ્રમાણે દર્શાવાય :
ઍસિડ + બેઇઝ → ક્ષાર + પાણી

પ્રશ્ન 15.
ધોવાનો સોડા અને બેકિંગ સોડાના બે મહત્ત્વના ઉપયોગો આપો.
ઉત્તર:
ધોવાનો સોડાના ઉપયોગો : (1) કાચ, સાબુ, કાપડ અને પેપર ઉદ્યોગમાં. (2) પાણીની સ્થાયી કઠિનતા દૂર કરવા માટે.
બેકિંગ સોડાના ઉપયોગો : (1) ઍન્ટાસિડ અને ચેપનાશક તરીકે. (2) સોડા-ઍસિડનો ઉપયોગ આગ બુઝાવવા માટે.
GSEB Class 10 Science ઍસિડ, બેઇઝ અને ક્ષાર Intext Questions and Answers
Intext પ્રશ્નોત્તર (પા.પુ. પાના નં 18)
Science Textbook Solutions
પ્રશ્ન 1.
તમને ત્રણ કસનળી આપવામાં આવેલ છે. તેમાંની એક નિયંદિત પાણી ધરાવે છે અને બાકીની બે અનુક્રમે ઍસિડિક અને બેઝિક દ્રાવણ ધરાવે છે. જો તમને માત્ર લાલ લિટમસપેપર આપેલ હોય, તો તમે દરેક કસનળીમાં રહેલા ઘટકોની ઓળખ કેવી રીતે કરશો?
ઉત્તર:
સૌપ્રથમ ત્રણ કસનળીને A, B અને Cથી ચિનિત કરો. કસનળી A, B અને Cમાં રાખેલ દ્રાવણમાંથી એક-એક ટીપું તે લાલ લિટમસપેપર પર નાખો. જે કસનળીના દ્રાવણનું ટીપું લાલ લિટમસપેપરને ભૂરું બનાવે છે. તે કસનળીમાં બેઈઝ હશે તેમ કહેવાય.
હવે, બાકી રહેતી બે કસનળીમાં ઍસિડ અથવા નિયંદિત પાણી હશે એમ કહેવાય.
હવે, બાકી રહેતી કસનળીના દ્રાવણમાંથી એક-એક ટીપું લઈ : – તેમાં બેઇઝના દ્રાવણનું એક-એક ટીપું નાખો. જે કસનળીના દ્રાવણનું ટીપું બેઇઝના દ્રાવણના ટીપા સાથે મિશ્ર થઈ રંગીન બને તે ઍસિડ છે તેમ કહેવાય અને જે મિશ્રિત ટીપાના રંગમાં કોઈ ફેરફાર થાય નહિ તે નિયંદિત પાણી છે એમ કહેવાય.
આ રીતે ત્રણેય કસનળીમાં રહેલાં ઘટકોની પરખ કરી શકાય.
Intext પ્રશ્નોત્તર (પા.પુ. પાના નં. 22)
પ્રશ્ન 1.
શા માટે દહીં અને ખાટા પદાર્થોને પિત્તળ તેમજ તાંબાના વાસણોમાં ન રાખવા જોઈએ?
ઉત્તર:
દહીં અને ખાટા પદાર્થો ઍસિડ ધરાવે છે, જે પિત્તળ તેમજ તાંબાના વાસણો સાથે પ્રક્રિયા કરે છે અને ઝેરી પદાર્થો બનાવે છે. તે માનવશરીર માટે નુકસાનકારક હોવાથી દહીં અને તેના જેવા બીજા ખાટા પદાર્થોને પિત્તળ કે તાંબાના વાસણમાં રાખવા ન જોઈએ.
પ્રશ્ન 2.
સામાન્ય રીતે ધાતુની ઍસિડ સાથેની પ્રક્રિયાથી કયો 2 વાયુ મુક્ત થાય છે? ઉદાહરણ દ્વારા સમજાવો. આ વાયુની હાજરીની કસોટી તમે કેવી રીતે કરશો?
ઉત્તર:
ધાતુની ઍસિડ સાથેની પ્રક્રિયાથી હાઇડ્રોજન વાયુ મુક્ત થાય છે.
દા. ત., Zn(s) + 2HCl(aq) → ZnCl9(aq) + H2(g)
હાઇડ્રોજન વાયુની હાજરીની કસોટી કરવા માટે સળગતી દિવાસળી કે મીણબત્તીને જ્યાં હાઇડ્રોજન વાયુ મુક્ત થાય છે, તે કસનળીના 3 મુખ પાસે રાખતાં મુક્ત થતો હાઇડ્રોજન વાયુ ધડાકા સાથે સળગે છે.

પ્રશ્ન 3.
ધાતુનું એક સંયોજન A મંદ હાઇડ્રોક્લોરિક ઍસિડ સાથે પ્રક્રિયા કરીને ઊભરા ઉત્પન્ન કરે છે. ઉત્પન્ન થતો વાયુ સળગતી મીણબત્તીને ઓલવી નાખે છે. જો ઉત્પન્ન થતાં સંયોજનો પૈકી એક કૅલ્શિયમ ક્લોરાઇડ હોય, તો પ્રક્રિયા માટે સમતોલિત રાસાયણિક સમીકરણ લખો.
ઉત્તર:
ધાતુનું સંયોજન A એ CaCO3 છે.
ઉદ્ભવતો વાયુ એ CO2 છે.
સમતોલિત રાસાયણિક સમીકરણ :
CaCO3(s) + 2HCl(aq) → CaCl2(aq) + CO2(g) + H2O(1)
Intext પ્રશ્નોત્તર (પા.પુ. પાના નં. 25)
પ્રશ્ન 1.
શા માટે HCl, HNO વગેરે જલીય દ્રાવણોમાં ઍસિડિક લક્ષણો ધરાવે છે, જ્યારે આલ્કોહોલ તેમજ લૂકોઝ જેવાં સંયોજનોનાં દ્રાવણો ઍસિડિક લક્ષણો ધરાવતા નથી?
ઉત્તર:
HCl, HNO3 વગેરે જલીય દ્રાવણોમાં H+(aq) આયન મુક્ત કરે છે. આથી તેઓનાં જલીય દ્રાવણો ઍસિડિક લક્ષણો ધરાવે છે.
જ્યારે આલ્કોહોલ તેમજ લૂકોઝ વગેરે જલીય દ્રાવણોમાં H+(aq) આયન મુક્ત કરતા નથી. આથી તેઓનાં જલીય દ્રાવણો ઍસિડિક લક્ષણો ધરાવતાં નથી.
પ્રશ્ન 2.
શા માટે ઍસિડનું જલીય દ્રાવણ વિદ્યુતનું વહન કરે છે?
ઉત્તર:
ઍસિડ જ્યારે પાણીમાં ઓગળીને દ્રાવણ બનાવે છે ત્યારે ઍસિડનું આયનીકરણ થાય છે. પરિણામે ઉદ્ભવતા આયનોની હાજરીને કારણે તેમાંથી વિદ્યુતનું વહન થાય છે.
પ્રશ્ન 3.
શા માટે શુષ્ક HCl વાયુ શુષ્ક લિટમસપેપરનો રંગ ! બદલતો નથી?
ઉત્તર:
શુષ્ક HCl વાયુ એ H+(aq) આયન ઉત્પન્ન કરી શકતો નથી. આથી તે ઍસિડિક લક્ષણો ધરાવતો નથી. આથી તે શુષ્ક લિટમસપેપર પર કોઈ અસર કરતો નથી. આથી લિટમસપેપરનો રંગ બદલાતો નથી.
પ્રશ્ન 4.
ઍસિડને મંદ કરતી વખતે શા માટે ઍસિડને પાણીમાં ઉમેરવાની, નહિ કે પાણીને ઍસિડમાં ઉમેરવાની ભલામણ કરવામાં આવે છે?
ઉત્તર:
સાંદ્ર ઍસિડને મંદ કરતી વખતે જો ઍસિડમાં પાણી ઉમેરવામાં આવે, તો ઉત્પન્ન થતી ઉષ્મા મિશ્રણને બહારની તરફ ઉછાળી શકે છે અને દાઝી શકાય છે. ઘણી વખત અતિશય સ્થાનિક ઉખાને કારણે કાચનું પાત્ર તૂટી પણ શકે છે.
આથી ઍસિડને મંદ કરવા માટે ઍસિડમાં પાણી ઉમેરવાને બદલે ઍસિડને હંમેશાં પાણીમાં ખૂબ જ ધીરે ધીરે સતત હલાવતા રહીને ઉમેરવો જોઈએ. જેથી ઉત્પન્ન થતી ઉષ્મા સમગ્ર પાણીમાં પ્રસરી જાય. પરિણામે કોઈ હાનિ થતી નથી.

પ્રશ્ન 5.
જ્યારે ઍસિડના દ્રાવણને મંદ કરવામાં આવે ત્યારે ? હાઇડ્રોનિયમ આયનો(H3O+)ની સાંદ્રતાને કેવી રીતે અસર થાય છે?
ઉત્તર:
જ્યારે ઍસિડના દ્રાવણને મંદ કરવામાં આવે છે, ત્યારે એકમ કદદીઠ હાઇડ્રોનિયમ આયનો(H3O+)ની સાંદ્રતામાં ઘટાડો થાય છે.
પ્રશ્ન 6.
જ્યારે સોડિયમ હાઇડ્રૉક્સાઇડના દ્રાવણમાં વધુ પ્રમાણમાં બેઇઝ ઓગાળવામાં આવે ત્યારે હાઇડ્રૉક્સાઇડ આયનો(NaOH)ની સાંદ્રતાને કેવી રીતે અસર થાય છે?
ઉત્તર:
જ્યારે સોડિયમ હાઇડ્રૉક્સાઇડ(NaOH)ના દ્રાવણમાં વધુ પ્રમાણમાં બેઇઝ ઓગાળવામાં આવે ત્યારે એકમ કદ દીઠ હાઇડ્રૉક્સાઇડ આયનો(OH–)ની સાંદ્રતામાં વધારો થાય છે.
Intext પ્રશ્નોત્તર (પા.પુ. પાના નં. 28)
પ્રશ્ન 1.
તમારી પાસે બે દ્રાવણો A અને B છે. દ્રાવણ Aની pH 6 અને દ્રાવણ Bની pH 8 છે. ક્યા દ્રાવણમાં હાઇડ્રોજન આયનની સાંદ્રતા વધારે છે? આ પૈકી કયું દ્રાવણ ઍસિડિક અને ક્યું બેઝિક છે? ,
ઉત્તર:
દ્રાવણ Aની pH 6 છે.
∴ તે ઍસિડિક છે. તેમાં હાઇડ્રોજન આયનની સાંદ્રતા (10-7 કરતાં) વધુ હશે. (લગભગ 10-6 M જેટલી)
દ્રાવણ Bની pH 8 છે.
∴ તે બેઝિક છે. તેમાં હાઈડ્રોજન આયનની સાંદ્રતા (10-7 કરતાં) ઓછી હશે. (લગભગ 10-8 M જેટલી)
પ્રશ્ન 2.
H+(aq) આયનની સાંદ્રતાની દ્રાવણના સ્વભાવ પર શી અસર થાય છે?
ઉત્તર:
જે દ્રાવણમાં H+(aq) આયનની સાંદ્રતા વધુ હશે, તે દ્રાવણ ઍસિડિક સ્વભાવ ધરાવશે અને જે દ્રાવણમાં H+(aq) આયનની સાંદ્રતા ઓછી હશે, તે દ્રાવણ બેઝિક સ્વભાવ ધરાવશે.
પ્રશ્ન 3.
શું બેઝિક દ્રાવણો પણ H+(aq) આયનો ધરાવે છે? જો હા તો તેઓ શા માટે બેઝિક હોય છે?
ઉત્તર:
હા, બેઝિક દ્રાવણો પણ H+(aq) આયનો ધરાવે છે. પરંતુ બેઝિક દ્રાવણોમાં વધુ પ્રમાણમાં OH–(aq) આયનો હોવાથી તેઓ સ્વભાવે બેઝિક હોય છે.
પ્રશ્ન 4.
તમારા મત મુજબ, ખેડૂત માટીની કઈ પરિસ્થિતિમાં તેના ખેતરની માટીમાં ક્વિકલાઇમ (કૅલ્શિયમ ઑક્સાઇડ) અથવા ફોડેલો ચૂનો (કેલ્શિયમ હાઇડ્રૉક્સાઇડ) અથવા ચાક(કેલ્શિયમ કાર્બોનેટ)નો ઉપયોગ કરશે?
ઉત્તર:
ખેતરની માટીની pH જ્યારે 6.5થી ઓછી હોય ત્યારે તે ઍસિડિક ગુણ ધરાવે છે. આ ઍસિડિક માટીને તટસ્થ કરવા માટે ખેડૂત તેમાં બેઝિક પદાર્થો જેવા કે ક્વિકલાઇમ, ફોડેલો ચૂનો કે ચાક ઉમેરે છે.
Intext પ્રશ્નોત્તર (પા.પુ. પાના નં.33)
પ્રશ્ન 1.
CaOCl2 સંયોજનનું સામાન્ય નામ શું છે?
ઉત્તર:
CaOCl2 સંયોજનનું સામાન્ય નામ બ્લીચિંગ પાઉડર છે.

પ્રશ્ન 2.
એવા પદાર્થનું નામ આપો કે જેની ક્લોરિન સાથેની પ્રક્રિયાથી વિરંજન પાઉડર મળે છે.
ઉત્તર:
કૅલ્શિયમ હાઇડ્રૉક્સાઇડ [Ca(OH)2] ક્લોરિન (Cl2) સાથે પ્રક્રિયા કરીને બ્લીચિંગ પાઉડર બનાવે છે.
Ca(OH)2 + Cl2 → CaOCl2 + H2O
પ્રશ્ન 3.
સખત પાણીને નરમ બનાવવા માટે ઉપયોગી સોડિયમ સંયોજનનું નામ આપો.
ઉત્તર:
સોડિયમ કાર્બોનેટ (Na2CO3).
પ્રશ્ન 4.
સોડિયમ હાઇડ્રોજન કાર્બોનેટના દ્રાવણને ગરમ કરતાં – શું થશે? તેમાં થતી પ્રક્રિયા માટે સમીકરણ દર્શાવો.
ઉત્તર:
સોડિયમ હાઇડ્રોજન કાર્બોનેટના દ્રાવણને ગરમ કરતાં સોડિયમ કાર્બોનેટ, પાણી અને કાર્બન ડાયૉક્સાઈડ પ્રાપ્ત થાય છે.
2NaHCO3(aq)
Na2CO3(s) + H2O(g) + CO2(g)
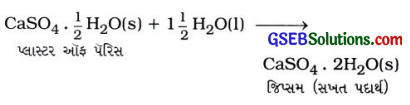
પ્રશ્ન 5.
પ્લાસ્ટર ઑફ પૅરિસ અને પાણી વચ્ચે થતી પ્રક્રિયા દર્શાવતું સમીકરણ લખો.
ઉત્તર:
GSEB Class 10 Science ઍસિડ, બેઇઝ અને ક્ષાર Textbook Activities
પ્રવૃત્તિ 2.1 (પા.પુ. પાના નં 18)
Science Textbook Solutions
હેતુઃ ઍસિડ-બેઇઝની પરખ કરવી.
પ્રવૃત્તિ
વિજ્ઞાનની પ્રયોગશાળામાંથી હાઇડ્રોક્લોરિક ઍસિડ (HCl), સક્યુરિક ઍસિડ (H2SO4), નાઈટ્રિક ઍસિડ (HNO3), ઍસિટિક ઍસિડ CH3COOH), સોડિયમ હાઇડ્રૉક્સાઇડ (NaOH), પોટૅશિયમ હાઈડ્રૉક્સાઈડ (KOH), કૅલ્શિયમ હાઇડ્રૉક્સાઈડ (Ca(OH)2), મૅગ્નેશિયમ હાઇડ્રૉક્સાઈડ . (Mg(OH)2) અને એમોનિયમ હાઇડ્રૉક્સાઈડ (NH4OH)ના નમૂનાને એકત્રિત કરો.
ઉપરોક્ત નમૂનાના દ્રાવણમાંથી એક ટીપું વૉચગ્લાસમાં લઈ, લાલ લિટમસપેપર, ભૂ લિટમસપેપર તથા ફિનોલ્ફથેલિન અને મિથાઇલ ઑરેન્જ જેવાં સૂચકોની મદદથી થતું રંગપરિવર્તન જુઓ.
તમે અવલોકેલ પરિણામોને કોષ્ટક 2.1માં લખો.
ઉપરોક્ત પ્રવૃત્તિ પરથી તમે શું અવલોકન કર્યું, તેના સંદર્ભમાં – નીચેના પ્રશ્નોના ઉત્તર લખો :
Gujarati Textbook Solutions
પ્રશ્ન 1.
સૂચકનું કાર્ય જણાવો.
ઉત્તર:
સૂચક ઍસિડ અને બેઇઝની હાજરીમાં રંગપરિવર્તન કરે છે.
પ્રશ્ન 2.
ધ્રાણેન્દ્રિય સૂચક કોને કહે છે?
ઉત્તર:
જે પદાર્થોની ઍસિડિક કે બેઝિક માધ્યમમાં વાસ બદલાય છે, તેવા પદાર્થોને ધ્રાણેન્દ્રિય સૂચક કહે છે.

પ્રશ્ન 3.
CH3COOH અને NH4OH કેવા પદાર્થ છે?
ઉત્તર:
CH3COOH એ નિર્બળ ઍસિડ છે, જ્યારે NH4OH એ નિર્બળ બેઇઝ છે.
પ્રવૃત્તિ 2.2 (પા.પુ. પાના નં 18)
હેતુ ધ્રાણેન્દ્રિય સૂચકની મદદ વડે ઍસિડ અને બેઇઝની પરખ કરવી.
પ્રવૃત્તિઃ
- સારી રીતે સમારેલી ડુંગળીને પ્લાસ્ટિકની થેલીમાં સ્વચ્છ કપડાના કેટલાક ટુકડા સાથે લો. થેલીને ચુસ્ત રીતે બાંધી દો અને આખી રાત તેને ફ્રિજમાં રહેવા દો. હવે, આ કપડાના ટુકડાને ઍસિડ અને બેઇઝની પરખ માટે ઉપયોગમાં લો.
- સૌપ્રથમ કપડાના ટુકડામાંથી બે ટુકડા લઈ તેની વાસ ચકાસો.
- તેમને સ્વચ્છ સપાટી પર રાખી એક ટુકડા પર મંદ HCl દ્રાવણનાં થોડાં ટીપાં અને બીજા ટુકડા પર મંદ NaOH દ્રાવણનાં થોડાં ટીપાં મૂકો.
- કપડાના બંને ટુકડાને ચોખ્ખા પાણીથી ધોઈને ફરીથી તેમની વાસ ચકાસો.
- તમારાં અવલોકનો નોંધો.
- હવે, એક કસનળીમાં થોડું મંદ HCL દ્રાવણ અને બીજી કસનળીમાં થોડું મંદ NaOH દ્રાવણ લો.
- બંને કસનળીમાં મંદ વેનિલા અકvanilla essence)નાં થોડાં ટીપાં ઉમેરો અને બરાબર હલાવો. ફરી એક વાર તેની વાસ ચકાસો અને જો વાસમાં કોઈ ફેરફાર થતો હોય, તો તેની નોંધ કરો.
- આ જ પ્રમાણે મંદ HCL અને મંદ NaOHનાં દ્રાવણો સાથે લવિંગના તેલ(Clove oil)ની વાસમાં થતો ફેરફાર ચકાસો અને તમારાં અવલોકનો નોંધો.
ઉપરોક્ત પ્રવૃત્તિ પરથી તમે શું અવલોકન કર્યું, તેના સંદર્ભમાં નીચેના પ્રશ્નોના ઉત્તર આપો :
પ્રશ્ન 1.
વેનિલા અર્ક, ડુંગળી અને લવિંગના તેલ પૈકી કોનો ધ્રાણેન્દ્રિય સૂચક તરીકે ઉપયોગ કરી શકાય?
ઉત્તર:
વેનિલા અર્ક, ડુંગળી અને લવિંગનું તેલ એ ત્રણેયનો ઉપયોગ ધ્રાણેન્દ્રિય સૂચક તરીકે કરી શકાય.
પ્રશ્ન 2.
વેનિલા અર્ક, ડુંગળી અને લવિંગના તેલને મંદ HCI અને મંદ NaOH સાથે મિશ્ર કરતાં વાસમાં કોઈ ફેરફાર જણાશે?
ઉત્તર:
વેનિલા અર્ક, ડુંગળી અને લવિંગના તેલની વાસ મંદ HCl ઉમેરતાં દૂર થતી નથી, પરંતુ મંદ NaOH ઉમેરતાં ત્રણેયની વાસ દૂર થાય છે.
પ્રવૃત્તિ 2.3 (પા.પુ. પાના નં. 19)
હેતુઃ દાણાદાર ઝિકની મંદ Hyso, સાથેની પ્રક્રિયાથી ઉત્પન્ન થતા H2(g)ની પરખ કરવી.
પ્રવૃત્તિઃ
આકૃતિ 2.1માં દર્શાવ્યા પ્રમાણે સાધનોને વ્યવસ્થિત ગોઠવો.
સૂચના : આ પ્રવૃત્તિ શિક્ષકના માર્ગદર્શન હેઠળ જ થાય તે અનિવાર્ય છે.
એક કસનળીમાં આશરે 5 mL મંદ સક્યુરિક ઍસિડ લઈ તેમાં થોડાક દાણાદાર ઝિંક નાખો.
- દાણાદાર ઝિકની સપાટી પર તમને શું દેખાય છે?
- ઉત્પન્ન થતા વાયુને સાબુના દ્રાવણમાંથી પસાર કરો.
- સાબુના દ્રાવણમાં પરપોટા શા માટે ઉદ્ભવે છે?
- વાયુથી ભરેલા પરપોટા નજીક સળગતી મીણબત્તી લઈ જાઓ.
- તમે શું અવલોકન કર્યું?
- બીજા અન્ય ઍસિડ જેવા કે HCl, HNO3 અને CH3COOH ની સાથે આ પ્રવૃત્તિનું પુનરાવર્તન કરો.
- પ્રત્યેક સ્થિતિમાં તમારાં અવલોકન સમાન છે કે જુદાં તે તપાસો.
- ઉપરની પ્રક્રિયાઓમાં ધાતુ ઍસિડમાંથી H2(g) નું વિસ્થાપન કરે છે. ટૂંકમાં, ધાતુ ઍસિડ સાથે પ્રક્રિયા કરી H2 વાયુ મુક્ત કરે છે અને ક્ષાર બનાવે છે.
ધાતુ + ઍસિડ → ક્ષાર + હાઇડ્રોજન વાયુ
ઉપરોક્ત પ્રવૃત્તિ પરથી તમે શું અવલોકન કર્યું, તેના સંદર્ભમાં નીચેના પ્રશ્નોના ઉત્તર આપો :
પ્રશ્ન 1.
દાણાદાર ઝિકની સપાટી પર શું દેખાય છે?
ઉત્તર:
દાણાદાર ઝિકની સપાટી પર હાઇડ્રોજન વાયુના પરપોટા દેખાય છે.

પ્રશ્ન 2.
સાબુના દ્રાવણમાં પરપોટા શા માટે બને છે? ઉત્તર : દાણાદાર ઝિકના ટુકડા H2SO4 સાથે પ્રક્રિયા કરી હાઇડ્રોજન વાયુ ઉત્પન્ન કરે છે, જેને સાબુના દ્રાવણમાંથી પસાર કરતાં પરપોટા બને છે.
પ્રશ્ન 3.
સળગતી મીણબત્તીને H2 વાયુની નજીક લઈ જતાં શું થાય છે?
ઉત્તર:
સળગતી મીણબત્તીને H2 વાયુની નજીક લઈ જતાં H2 વાયુ ધડાકા સાથે સળગી ઊઠે છે.
પ્રશ્ન 4.
શું ઝિંક ધાતુ મંદ HCl, મંદ HNO3 અને CH3COOH સાથે H2 વાયુ મુક્ત કરશે? પ્રક્રિયા સમીકરણથી દર્શાવો.
ઉત્તર:
Zn(s) + 2HCl(aq) (મંદ) → ZnCl2(aq) + H2(g)↑
મુક્ત થાય છે.
Zn(s) + HNO3(aq) (મંદ) → H2(g) મુક્ત થતો નથી.
(મંદ) Zn(s) + CH3COOH(aq) + H2(g) મુક્ત થતો નથી.
પ્રશ્ન 5.
ઝિકના ટુકડાની મંદ H2SO4 સાથેની પ્રક્રિયાનું સમતોલિત સમીકરણ લખો.
ઉત્તર:
Zn(s) + H2SO4(aq) (મંદ) → ZnSO4(aq) + H2(g)
પ્રવૃત્તિ 2.4 (પા.પુ. પાના નં. 20)
હેતુઃ ધાતુની બેઇઝ સાથેની પ્રક્રિયાનો અભ્યાસ કરવો.
પ્રવૃત્તિ
- એક કસનળીમાં દાણાદાર ઝિંક લો.
- તેમાં આશરે 2 mL સોડિયમ હાઇડ્રૉક્સાઇડનું દ્રાવણ ઉમેરી, મિશ્રણને થોડુંક ગરમ કરો.
- ત્યારબાદ પ્રવૃત્તિ 2.3 મુજબ પ્રક્રિયાઓ કરી તમારાં અવલોકનો નોંધો.
ઉપરોક્ત પ્રવૃત્તિ પરથી તમે શું અવલોકન કર્યું, તેના સંદર્ભમાં નીચેના પ્રશ્નોના ઉત્તર આપો :
પ્રશ્ન 1.
ઝિકના ટુકડાની સોડિયમ હાઇડ્રૉક્સાઇડ સાથેની પ્રક્રિયાથી કયો વાયુ નીકળે છે?
ઉત્તર:
હાઇડ્રોજન વાયુ
પ્રશ્ન 2.
સોડિયમ ઝિકેટનું અણુસૂત્ર લખો.
ઉત્તર:
Na2ZnO2

પ્રશ્ન 3.
ઝિંક અને સોડિયમ હાઇડ્રૉક્સાઇડ વચ્ચે થતી પ્રક્રિયાનું સમતોલિત સમીકરણ લખો.
ઉત્તર:
Zn(s) + 2NaOH(aq) → Na2ZnO2(aq) + H2(g)
પ્રવૃત્તિ 2.5 (પા.પુ. પાના નં. 20)
હેતુ સોડિયમ કાર્બોનેટ અને સોડિયમ હાઇડ્રોજન કાર્બોનેટની મંદ
HCL સાથેની પ્રક્રિયાનો અભ્યાસ કરવો.
પ્રવૃત્તિઃ
- એક કસનળી લો.
- કસનળીમાં આશરે 0.5 g સોડિયમ કાર્બોનેટ (NaCO3) અથવા આશરે 0.5 g સોડિયમ હાઇડ્રોજન કાર્બોનેટ (NaHCO3) લો.
- તેમાં આશરે 2 mL મંદ HCl ઉમેરો.
- તમે શું અવલોકન કર્યું?
- આકૃતિ 2.2 મુજબ ઉત્પન્ન થતા CO2 વાયુને કૅલ્શિયમ હાઇડ્રૉક્સાઇડના દ્રાવણમાંથી પસાર કરો અને તમારાં અવલોકનો નોંધો.

ઉપરોક્ત પ્રવૃત્તિ પરથી તમે શું અવલોકન કર્યું, તેના સંદર્ભમાં – નીચેના પ્રશ્નોના ઉત્તર આપો :
પ્રશ્ન 1.
સોડિયમ કાર્બોનેટ અથવા સોડિયમ હાઇડ્રોજન કાર્બોનેટ મંદ – HCl સાથે કયો વાયુ ઉત્પન્ન કરે છે?
ઉત્તર:
કાર્બન ડાયોક્સાઇડ વાયુ
પ્રશ્ન 2.
ઉપરોક્ત પ્રવૃત્તિ માટે સામાન્ય રાસાયણિક સમીકરણ લખો.
ઉત્તર:
ધાતુ કાર્બોનેટ અથવા + ઍસિડ → ક્ષાર + કાર્બન ડાયૉક્સાઇડ + પાણી ધાતુ હાઇડ્રોજન કાર્બોનેટ
પ્રશ્ન 3.
Cu(OH)2 નું જાણીતું નામ જણાવો.
ઉત્તર:
ચૂનાનું પાણી અથવા લાઇમ વૉટર
પ્રશ્ન 4.
Ca(HCO3)2 ની પાણીમાં દ્રાવ્યતા કેવી છે?
ઉત્તર:
Ca(HCO3)2 ની પાણીમાં દ્રાવ્યતા ખૂબ જ છે, અર્થાત્ તે પાણીમાં દ્રાવ્ય છે.
પ્રશ્ન 5.
Ca(OH)2 માં CO2 વાયુ પસાર કરતાં શું મળે?
ઉત્તર:
CaCO3 ના સફેદ અવક્ષેપ મળે.
Ca(OH)2(aq) + CO2(g) → CaCO3(s) + H2O(l)
પ્રવૃત્તિ 2.6 (પા.પુ. પાના નં. 21)
હેતુઃ ઍસિડ અને બેઇઝ વચ્ચે થતી પ્રક્રિયાની પરખ કરવી.
પ્રવૃત્તિઃ
- એક કસનળીમાં આશરે 2 mL મંદ NaOHનું દ્રાવણ લો. તેમાં ફિનોલ્ફથેલિનનાં બે ટીપાં ઉમેરો. રંગપરિવર્તન જુઓ.
- હવે આ દ્રાવણમાં મંદ HCIનું એક-એક ટીપું ઉમેરો. શું પ્રક્રિયા મિશ્રણમાં રંગપરિવર્તન થાય છે?
- શા માટે ઍસિડ ઉમેરવાથી ફિનોલ્ફથેલિનનો રંગ બદલાય છે?
- આ મિશ્રણમાં હવે NaOHનાં ટીપાં ઉમેરો. શું ફિનોલ્ફથેલિનનો ગુલાબી રંગ ફરીથી દેખાય છે?
ઉપરોક્ત પ્રવૃત્તિ પરથી તમે શું અવલોકન કર્યું, તેના સંદર્ભમાં નીચેના પ્રશ્નોના ઉત્તર આપો:
પ્રશ્ન 1.
NaOHનું દ્રાવણ ફિનોલ્ફથેલિન સૂચક સાથે કેવો રંગ આપશે?
ઉત્તર:
ગુલાબી

પ્રશ્ન 2.
NaOH અને ફિનોલ્ફથેલિન સૂચકના દ્રાવણમાં મંદ HCIનાં બે ટીપાં નાખતાં શું થશે?
ઉત્તરઃ
ગુલાબી રંગ દૂર થશે.
પ્રશ્ન 3.
ઍસિડમાં બેઇઝ ઉમેરતાં થતી પ્રક્રિયાનું માત્ર નામ લખો.
ઉત્તર:
તટસ્થીકરણ પ્રક્રિયા
પ્રશ્ન 4.
તટસ્થીકરણ પ્રક્રિયા દર્શાવતું સમીકરણ લખો.
ઉત્તર:
NaOH(aq) + HCl(aq) → NaCl(aq) + H2O(l)
પ્રવૃત્તિ 2.7 (પા.પુ. પાના નં. 21)
હેતુઃ ધાતુના ઑક્સાઈડની ઍસિડ સાથેની પ્રક્રિયાનો અભ્યાસ કરવો.
પ્રવૃત્તિઃ
- એક બકરમાં થોડી માત્રામાં કૉપર ઑક્સાઇડનો ભૂકો લો.
- તેમાં ધીરે ધીરે મંદ હાઇડ્રોક્લોરિક ઍસિડ ઉમેરતા જાઓ અને દ્રાવણને સતત હલાવતા જાઓ.
- દ્રાવણનો રંગ નોંધો.
- કૉપર ઑક્સાઇડનું શું થાય છે?
ઉપરોક્ત પ્રવૃત્તિ પરથી તમે શું અવલોકન કર્યું, તેના સંદર્ભમાં નીચેના પ્રશ્નોના ઉત્તર આપો :
પ્રશ્ન 1.
કોપર ઑક્સાઈડ (CuO)ના ભૂકાનો રંગ લખો.
ઉત્તર:
કૉપર ઑક્સાઇડ (CuO)નો ભૂકો કાળા રંગનો છે.
પ્રશ્ન 2.
કૉપર ઑક્સાઇડમાં મંદ હાઇડ્રોક્લોરિક ઍસિડ ઉમેરતાં દ્રાવણનો રંગ કેવો થાય છે?
ઉત્તર:
વાદળી-લીલો
પ્રશ્ન ૩.
દ્રાવણનો રંગ વાદળી-લીલો થવાનું કારણ જણાવો.
ઉત્તર:
દ્રાવણનો રંગ વાદળી-લીલો થવાનું કારણ તેમાં ઉત્પન્ન થતો કોપર (II) ક્લોરાઇડ છે.
પ્રશ્ન 4.
કૉપર (II) ક્લોરાઇડનું અણુસૂત્ર લખો.
ઉત્તર:
CuCl2

પ્રશ્ન 5.
ધાતુ ઑક્સાઇડ અને મંદ ઍસિડ વચ્ચે થતી પ્રક્રિયાનું સામાન્ય સમીકરણ લખો.
ઉત્તર:
ધાતુ ઑક્સાઇડ + ઍસિડ → ક્ષાર + પાણી
પ્રવૃત્તિ 2.8 [પા.પુ. પાના નં. 22].
હેતુઃ ઍસિડ અને બેઇઝના જલીય દ્રાવણમાં થતા વિદ્યુતવહનનો અભ્યાસ કરવો.
પ્રવૃત્તિ :
આકૃતિ 2.3 મુજબ સાધનો ગોઠવો.
આપેલ આકૃતિમાં જ્યારે બીકરમાં જુદા જુદા પદાર્થોનાં દ્રાવણોને અલગ અલગ રેડવામાં આવે છે, ત્યારે નીચે મુજબ અવલોકનો મળે છે :
ઉપરોક્ત પ્રવૃત્તિ પરથી તમે શું અવલોકન કર્યું, તેના સંદર્ભમાં નીચેના પ્રશ્નોના ઉત્તર આપો :
પ્રશ્ન 1.
બલ્બનું પ્રકાશિત થવું એ શું સૂચવે છે?
ઉત્તર:
બલ્બનું પ્રકાશિત થવું એ સૂચવે છે કે, દ્રાવણમાંથી વિદ્યુત પ્રવાહ વહી રહ્યો છે.
પ્રશ્ન 2.
દ્રાવણમાં વિદ્યુતનું વહન કોના દ્વારા થાય છે?
ઉત્તર:
દ્રાવણમાં વિદ્યુતનું વહન આયનો દ્વારા થાય છે.
પ્રશ્ન 3.
ઍસિડિક અને બેઝિક ગુણધર્મો માટે જવાબદાર આયન લખો.
ઉત્તર:
ઍસિડિક ગુણધર્મ માટે H+(aq) અને બેઝિક ગુણધર્મ માટે OH–(aq) આયન જવાબદાર છે.
પ્રવૃત્તિ 2.9 (પા.પુ. પાના નં. 23)
હેતુઃ શુષ્ક HCl ઍસિડિક નથી, પરંતુ HCIનું જલીય દ્રાવણ ઍસિડિક છે, તે દર્શાવતી કસોટી કરવી.
પ્રવૃત્તિ:
- શુદ્ધ અને શુષ્ક કસનળીમાં આશરે 1g ઘન NaCI લો અને આકૃતિ 2.4માં દર્શાવ્યા પ્રમાણે સાધનોની ગોઠવણી કરો.
- કસનળીમાં થોડો સાંદ્ર (જલદ) સફ્યુરિક ઍસિડ ઉમેરો.
- તમે શું અવલોકન કરો છો? શું વિતરણ નળીમાંથી વાયુ બહાર નીકળી રહ્યો છે?
- ઉદ્ભવેલા વાયુની ક્રમશઃ સૂકા અને ભીના ભૂરા લિટમસપેપર વડે પરખ કરો.
- કયા કિસ્સામાં લિટમસપેપરના રંગમાં પરિવર્તન થાય છે?
- ઉપરોક્ત પ્રવૃત્તિના આધાર પર તમે (I) શુષ્ક HCl વાયુ અને (II) HCl દ્રાવણના ઍસિડિક સ્વભાવ વિશે શું અનુમાન કરો છો?
ઉપરોક્ત પ્રવૃત્તિ પરથી તમે શું અવલોકન કર્યું, તેના સંદર્ભમાં નીચેના પ્રશ્નોના ઉત્તર આપો :
પ્રશ્ન 1.
પાણીની ગેરહાજરીમાં HCIના અણુઓમાંથી HY આયનનું અલગીકરણ થશે?
ઉત્તર:
ના
પ્રશ્ન 2.
હાઇડ્રોજન આયનોને હંમેશાં શેના વડે દર્શાવાય છે?
ઉત્તર:
H+(aq) અથવા H3O+(aq) (હાઇડ્રોનિયમ આયન) વડે દર્શાવાય છે.
પ્રશ્ન 3.
બેઝિક ગુણધર્મ દર્શાવવા માટે કયો આયન જવાબદાર છે?
ઉત્તર:
OH– આયન
પ્રશ્ન 4.
આલ્કલી બેઇઝની પાણીમાં દ્રાવ્યતા જણાવો.
ઉત્તર:
આલ્કલી બેઇઝ પાણીમાં દ્રાવ્ય (ઓગળે) છે.
પ્રશ્ન 5.
આલ્કલી બેઇઝનાં બે ઉદાહરણ આપો.
ઉત્તર:
NaOH, KOH
પ્રશ્ન 6.
બેઇઝના ગુણધર્મ લખો.
ઉત્તર:
તેઓ સ્પર્શે સાબુ જેવા ચીકણા, સ્વાદે કડવા અને ક્ષારીય (ખવાઈ જાય તેવા) હોય છે.
પ્રશ્ન 7.
તટસ્થીકરણ પ્રક્રિયા માટે સામાન્ય સમીકરણ લખો.
ઉત્તર:
ઍસિડ + બેઇઝ → ક્ષાર + પાણી
અથવા
HX + MOH → MX + H2O
પ્રવૃત્તિ 2.10 (પા.પુ. પાના નં. 24)
હેતુ: પાણીને ઍસિડ અથવા બેઇઝ સાથે મિશ્ર કરવું.
પ્રવૃત્તિઃ
- એક બીકરમાં 10 mL પાણી લો.
- તેમાં થોડાં ટીપાં સાંદ્ર H2SO4 ઉમેરો અને બીકરને ગોળ ગોળ ફેરવો.
- બીકરના તળિયાને સ્પર્શ કરો.
- શું તાપમાનમાં કોઈ ફેરફાર થાય છે?
- શું તે ઉષ્માશોષક કે ઉષ્માક્ષેપક પ્રક્રિયા (પ્રક્રમ) છે?
- H2SO4ને બદલે NaOHની નાની ગોળીઓ લઈ ફરીથી ઉપરની પ્રવૃત્તિનું પુનરાવર્તન કરો.
ઉપરોક્ત પ્રવૃત્તિ પરથી તમે શું અવલોકન કર્યું, તેના સંદર્ભમાં નીચેના પ્રશ્નોના ઉત્તર આપો :
પ્રશ્ન 1.
ઍસિડ અને બેઇઝની પાણીમાં ઓગળવાની પ્રક્રિયા કઈ છે?
ઉત્તર:
ઉષ્માક્ષેપક પ્રક્રિયા
પ્રશ્ન 2.
ઍસિડ અથવા બેઇઝને પાણી સાથે મિશ્ર કરતાં તેમના દ્રાવણની સાંદ્રતામાં શો ફેર પડે છે?
ઉત્તર:
દ્રાવણની સાંદ્રતામાં ઘટાડો થાય છે.
પ્રવૃત્તિ 2.11 (પા.પુ. પાના નં. 26)
હેતુઃ આપેલ દ્રાવણોનાં pH મૂલ્યોની પરખ કરો.
પ્રવૃત્તિ:
કોષ્ટક 2.2 માં આપેલ દ્રાવણોના pH પેપરનો રંગ, આશરે pH મૂલ્ય અને પદાર્થનો સ્વભાવ લખો.

[આકૃતિ 2.7: pH પેપર પર દર્શાવેલ અમુક સામાન્ય પદાર્થોની pH (રંગો એ માત્ર આશરે માર્ગદર્શક છે.)]
પ્રવૃત્તિ 2.12 (પા.પુ. પાના નં. 27)
હેતુ માટીની pH માપવી.
પ્રવૃત્તિ:
- એક કસનળીમાં 2 g માટી લઈ, તેમાં આશરે 5 mL પાણી ઉમેરો.
- કસનળીને બરાબર હલાવી, ઘટકોને ગાળીને કસનળીમાં ગાળણ એકત્રિત કરો.
- સાર્વત્રિક સૂચકપત્રની મદદથી આ ગાળણની pH ચકાસો.
ઉપરોક્ત પ્રવૃત્તિ પરથી તમે શું અવલોકન કર્યું, તેના સંદર્ભમાં ‘ નીચેના પ્રશ્નોના ઉત્તર આપો :
પ્રશ્ન 1.
કસનળીમાં રહેલ ગાળણ એ લાલ લિટમસપત્રને ભૂરું કરે છે, તો તમે લીધેલ માટીનો નમૂનો કયો ગુણ ધરાવશે?
ઉત્તર:
બેઝિક ગુણ ધરાવતો હશે.
પ્રશ્ન 2.
જે માટી માટે pHનું મૂલ્ય 5.6થી ઓછું હશે તે માટી કેવો ગુણ ધરાવશે?
ઉત્તર:
ઍસિડિક ગુણ ધરાવશે.
પ્રશ્ન ૩.
ઍસિડિક જમીન અને બેઝિક જમીનને તટસ્થ કરવા શું કરશો?
ઉત્તર:
ઍસિડિક જમીનને તટસ્થ કરવા લાઇમ જેવો બેઇઝ ઉમેરો અને બેઝિક જમીનને તટસ્થ કરવા જિપ્સમ જેવો ઍસિડ ઉમેરો.
પ્રશ્ન 4.
જમીનમાં છોડની વૃદ્ધિ અને વિકાસ સારો થાય તે માટે ? pH કેટલી હોવી જોઈએ?
ઉત્તર:
6.5થી 7.3ની વચ્ચે pH હોવી જોઈએ.
પ્રવૃત્તિ 2.13 (પા.પુ. પાના નં. 28)
હેતુઃ આપેલ ક્ષાર બનાવવા જરૂરી ઍસિડ-બેઇઝની ઓળખ કરવી.
પ્રવૃત્તિ :
કોષ્ટક 2.3માં આપેલ ક્ષાર બનાવવા વપરાતો ઍસિડ અને બેઇઝ ઓળખો.
ઉપરોક્ત પ્રવૃત્તિ પરથી તમે શું અવલોકન કર્યું, તેના સંદર્ભમાં નીચેના પ્રશ્નોના ઉત્તર આપો :
પ્રશ્ન 1.
ક્ષાર-પરિવાર કોને કહેવાય?
ઉત્તરઃ
એકસમાન ધન અથવા કણ આયનો (મૂલકો) ધરાવતા ક્ષારોને ક્ષાર-પરિવાર કહે છે.
પ્રશ્ન 2.
સોડિયમ ક્ષાર-પરિવારનાં ઉદાહરણ આપો.
ઉત્તરઃ
NaCl, Na2SO4, Na2CO3
પ્રશ્ન 3.
ક્લોરાઇડ ક્ષાર-પરિવારનાં ઉદાહરણ આપો.
ઉત્તર:
NaCl, KCl, NH4Cl
પ્રવૃત્તિ 2.14 (પા.પુ. પાના નં. 29)
હેતુઃ ક્ષારની પાણીમાં દ્રાવ્યતા અને pH તપાસો.
પ્રવૃત્તિઃ
કોષ્ટક 2.4માં આપેલ ક્ષારની નિયંદિત પાણીમાં દ્રાવ્યતા ચકાસો. તે ક્ષારની અંદાજિત pH લખી, તે ક્ષાર બનાવવા કયો ઍસિડ કે બેઇઝ વપરાશે તે જણાવો.
પ્રવૃત્તિ 2.15 (પા.પુ. પાના નં. 32)
હેતુઃ સ્ફટિકીકરણ પ્રક્રિયાથી સ્ફટિકનું પાણી દૂર કરવું.
પ્રવૃત્તિઃ
- શુષ્ક ઉત્કલન નળીમાં કૉપર સલ્ફટના થોડાક સ્ફટિકો લઈને તેને ગરમ કરો.
- કૉપર સલ્ફટના સ્ફટિકને ગરમ કર્યા બાદ તેનો રંગ કેવો થાય છે?
- શું તમને ઉત્કલન નળીમાં પાણીનાં ટીપાં દેખાય છે? તે ક્યાંથી આવે છે?
- ગરમ કર્યા પછીના કૉપર સલ્ફટના નમૂના પર પાણીનાં 2-3 ટીપાં ઉમેરી અવલોકન કરો કે શું કૉપર સલ્ફટનો ભૂરો રંગ પાછો આવે છે?

ઉપરોક્ત પ્રવૃત્તિ પરથી તમે શું અવલોકન કર્યું, તેના સંદર્ભમાં નીચેના પ્રશ્નોના ઉત્તર આપો:
પ્રશ્ન 1. કૉપર સલ્ફટના સ્ફટિકને ગરમ કર્યા બાદ તેનો રંગ કેવો થાય છે?
ઉત્તર: વાદળી રંગમાંથી સફેદ બને છે.
પ્રશ્ન 2. શું તમને ઉત્કલન નળીમાં પાણીનાં ટીપાં દેખાય છે? શા માટે?
ઉત્તર: હા, કૉપર સલ્ફટના સ્ફટિક જળયુક્ત હોય છે (CuSO4. 5H2). આથી જો તેને ગરમ કરવામાં આવે તો સ્ફટિકમાંથી પાણી દૂર થાય છે, જે ઉત્કલન નળીમાં ટીપાં સ્વરૂપે દેખાય છે.
પ્રશ્ન 3. ગરમ કર્યા પછીના કૉપર સલ્ફટના નમૂના પર પાણીનાં 2-3 ટીપાં ઉમેરતાં કૉપર સલ્ફટનો ભૂરો (વાદળી) રંગ પાછો આવે છે?
ઉત્તર: હા.
પ્રશ્ન 4. કૉપર સલ્ફટ સ્ફટિક જળનું રાસાયણિક સૂત્ર લખો.
ઉત્તર: CuSO4. 5H2O
ઍસિડ, બેઇઝ અને ક્ષાર Class 10 Notes
ઍસિડ, બેઇઝ અને ક્ષાર Class 10 Notes
→ ઍસિડ (Acid) તે સ્વાદે ખાટા હોય છે. તે ભૂરા લિટમસપેપરને લાલ કરે છે. તે H+(aq) આયન મુક્ત કરે છે. તેના pHનું મૂલ્ય 7 કરતાં ઓછું હોય છે. ઍસિડિક ગુણ માટે H+(aq) આયન જવાબદાર છે.
→ બેઈઝ (Base) તે સ્વાદે તૂરા હોય છે. તે લાલ લિટમસપેપરને ભૂરું કરે છે. તે OH–(aq) આયન મુક્ત કરે છે. તેના pHનું મૂલ્ય 7 કરતાં વધુ હોય છે. બેઝિક ગુણ માટે OH–(aq) આયન જવાબદાર છે.
→ સૂચક (Indicatory : તે ઍસિડ અને બેઇઝની હાજરીમાં રંગપરિવર્તન કરે છે અથવા ઍસિડ કે બેઈઝની હાજરીમાં વાસ બદલે છે.
- કૃત્રિમ સૂચકોઃ મિથાઇલ ઑરેન્જ અને ફિનોલ્ફથેલિન
- કુદરતી સૂચકો (Indicators): લાલ કોબીજનાં પાન, હળદર, વેનિલા, ડુંગળી
→ ઍસિડ ધાતુ સાથે પ્રક્રિયા કરીને હાઈડ્રોજન વાયુ ઉત્પન્ન કરે છે અને અનુરૂપ ક્ષાર (Salt) આપે છે. જ્યારે બેઈઝ ધાતુ સાથે પ્રક્રિયા કરીને હાઈડ્રોજન વાયુ ઉત્પન્ન કરે છે તથા ઉત્પન્ન થતા ક્ષારનો કણ આયન એ ધાતુ અને ઑક્સિજન સાથે જોડાય છે.
→ ઍસિડ ધાતુ કાર્બોનેટ અથવા ધાતુ હાઇડ્રોજન કાર્બોનેટ સાથે પ્રક્રિયા કરીને અનુરૂપ ક્ષાર, કાર્બન ડાયૉક્સાઈડ વાયુ અને પાણી આપે છે.
→ પાણીમાં બનાવેલા ઍસિડિક અને બેઝિક દ્રાવણો વિદ્યુતનું વહન કરે છે, કારણ કે તેઓ અનુક્રમે હાઈડ્રોજન આયન H+(aq) અને હાઇડ્રૉક્સાઇડ આયન OH–(aq) ઉત્પન્ન કરે છે.
→ pH માપક્રમ (pH scale): તે ઍસિડ અને બેઇઝની પ્રબળતા નક્કી કરવા વપરાય છે.
- ઍસિડિક દ્રાવણ : pH < 7, pOH > 7
- બેઝિક દ્રાવણ pH > 7, pOH < 7
- તટસ્થ દ્રાવણ : pH = 7, pOH = 7
→ સજીવોમાં ચયાપચયની પ્રક્રિયાઓ મહત્તમ pH સ્તરે (7.0થી 7.8ની હદમાં) થતી હોય છે.
→ સાંદ્ર ઍસિડ અથવા બેઈઝનું પાણી સાથેનું મિશ્રણ અત્યંત ઉષ્માક્ષેપક પ્રક્રિયા છે.
→ તટસ્થીકરણ પ્રક્રિયા (Neutralisation reaction): જે પ્રક્રિયામાં ઍસિડ અને બેઇઝ વચ્ચે પ્રક્રિયા થઈ ક્ષાર અને પાણી બને તે પ્રક્રિયાને તટસ્થીકરણ કહે છે. દૈનિક જીવનમાં તેમજ ઉદ્યોગોમાં ક્ષારનો ઉપયોગ વિવિધ સ્તરે થાય છે.
→ પદાર્થ (સંયોજન) અને તેના ઉપયોગો :
- વેનિલા અર્ક, ડુંગળી, લવિંગ : ધ્રાણેન્દ્રિય સૂચક તરીકે
- મિલ્ક ઑફ મૅગ્નેશિયા: ઍન્ટાસિડ તરીકે
- સોડિયમ ક્લોરાઈડ (NaC): સોડિયમ હાઈડ્રૉક્સાઈડ અને બેકિંગ સોડા, ધોવાનો સોડા, બ્લીચિંગ પાઉડરની બનાવટમાં તથા દૈનિક જીવનમાં.
- સોડિયમ હાઇડ્રૉક્સાઈડ (NaOH) સાબુ અને ડિટર્જન્ટની બનાવટમાં, પેટ્રોલિયમના શુદ્ધીકરણમાં, પ્રયોગશાળામાં.
- બ્લીચિંગ પાઉડર (CaOCl2) : વિરંજક તરીકે, જંતુનાશક તરીકે અને ઑક્સિડેશનકર્તા તરીકે.
- બેકિંગ સોડા (ખાવાનો સોડા -NaHCO3) ઍન્ટાસિડ તરીકે, ચેપનાશક તરીકે, પ્રયોગશાળામાં, ખોરાકને નરમ બનાવવા તથા સોડા-ઍસિડ અગ્નિશામક તરીકે.
- વૉશિંગ સોડા (ધોવાનો સોડા – Na2CO3) કાચ, સાબુની બનાવટમાં, સફાઈકર્તા તરીકે, કાગળ અને કાપડ ઉદ્યોગમાં તથા પ્રયોગશાળામાં.
- પ્લાસ્ટર ઑફ પેરિસ (CaSO4. 12H2O) : બાંધકામ ઉદ્યોગમાં, ફ્રક્વરમાં, બ્લેકબોર્ડના ચૉક, પૂતળાં બનાવવાં, બીબાં બનાવવા તથા પ્રયોગશાળામાં.
